🇳🇴 🇬🇧 🇩🇪 🇨🇿 🇫🇮

Meteor, poloha: Hirtshals 2021-09-06 21:51:01 UTC

Soubor KML  |  InteraktivnĂ­ mapa

Mapa zobrazuje dráhy meteoru. Světlejší čáry ukazují směry od pozorovacích stanic při objevení se meteoru a tmavší čáry, kde byl naposledy viděn. Modrá šipka značí viditelnou dráhu meteoru.

static map
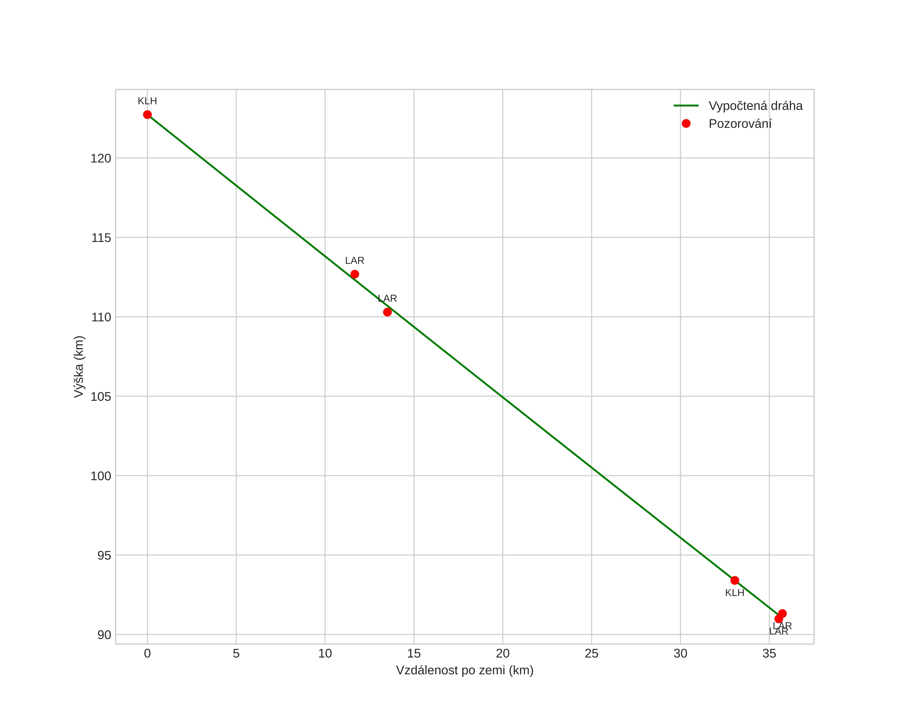
height profile
Atmosférická dráha meteoru:
Počáteční výška: 122,4 km
Konečná výška: 91,1 km
Počáteční poloha: 58,244N 10,454E
Konečná poloha: 58,173N 9,864E
Směr: 257,4°
Sklon: 41,4°
VstupnĂ­ rychlost: 68,2 km/s
Rektascenze radiantu: 02:32 (38,2°)
Deklinace radiantu: 40,2°
MeteorickĂ˝ roj: september-epsilon-perseidene
Elementy dráhy meteoroidu:
Vzdálenost v periheliu: 0,706 AU
Excentricita: 1,284
Sklon dráhy: 133,8°
Délka vzestupného uzlu: 164,2°
Argument perihelia: 242,1°
Střední anomálie: -8,0°
Epocha: 2021 SEP 06 21:51:01
orbit plot

NeinteraktivnĂ­ graf | InteraktivnĂ­ graf

position vs time
speed and acceleration