🇳🇴 🇬🇧 🇩🇪 🇨🇿 🇫🇮

Meteor Hirtshalsin yllä 2021-09-06 21:51:01 UTC

KML-tiedosto  |  Interaktiivinen kartta

Kartta näyttää meteorin suuntahavainnot. Vaaleammat viivat näyttävät suunnat havaintoasemilta meteorin ilmestyessä, ja tummemmat viivat näyttävät, missä se viimeksi nähtiin. Sininen nuoli näyttää meteorin näkyvän lennon.

static map
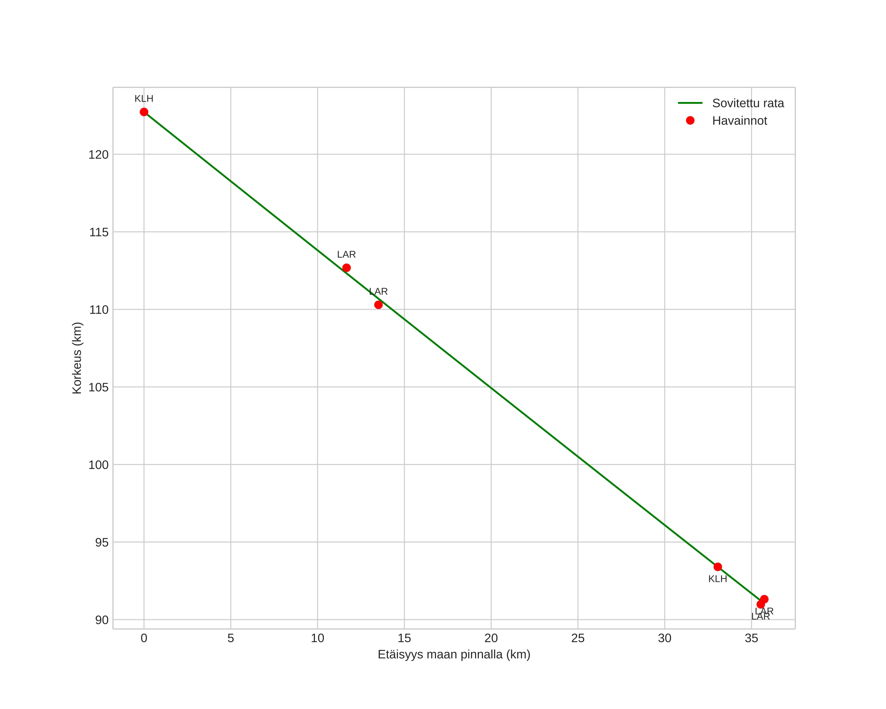
height profile
Meteorin ilmakehärata:
Alkukorkeus: 122,4 km
Loppukorkeus: 91,1 km
Alkupiste: 58,244N 10,454E
Loppupiste: 58,173N 9,864E
Suunta: 257,4°
Kallistuskulma: 41,4°
Tulonopeus: 68,2 km/s
Radiantin R,A,: 02:32 (38,2°)
Radiantin Dekl,: 40,2°
Meteoriparvi: september-epsilon-perseidene
Meteoroidin rataelementit:
Perihelietäisyys: 0,706 AU
Eksentrisyys: 1,284
Inklinaatio: 133,8°
Nousevan solmun pituus: 164,2°
Perihelin argumentti: 242,1°
Keskianomalia: -8,0°
Epookki: 2021 SEP 06 21:51:01
orbit plot

Ei-interaktiivinen kuvaaja | Interaktiivinen kuvaaja

position vs time
speed and acceleration