🇳🇴 🇬🇧 🇩🇪 🇨🇿 🇫🇮

Meteor über Hirtshals 2021-09-06 21:51:01 UTC

KML-Datei  |  Interaktive Karte

Die Karte zeigt die Peilungen für den Meteor. Die helleren Linien zeigen die Richtungen von den Beobachtungsorten beim Erscheinen des Meteors, und die dunkleren Linien, wo er zuletzt gesehen wurde. Der blaue Pfeil zeigt die sichtbare Bahn des Meteors.

static map
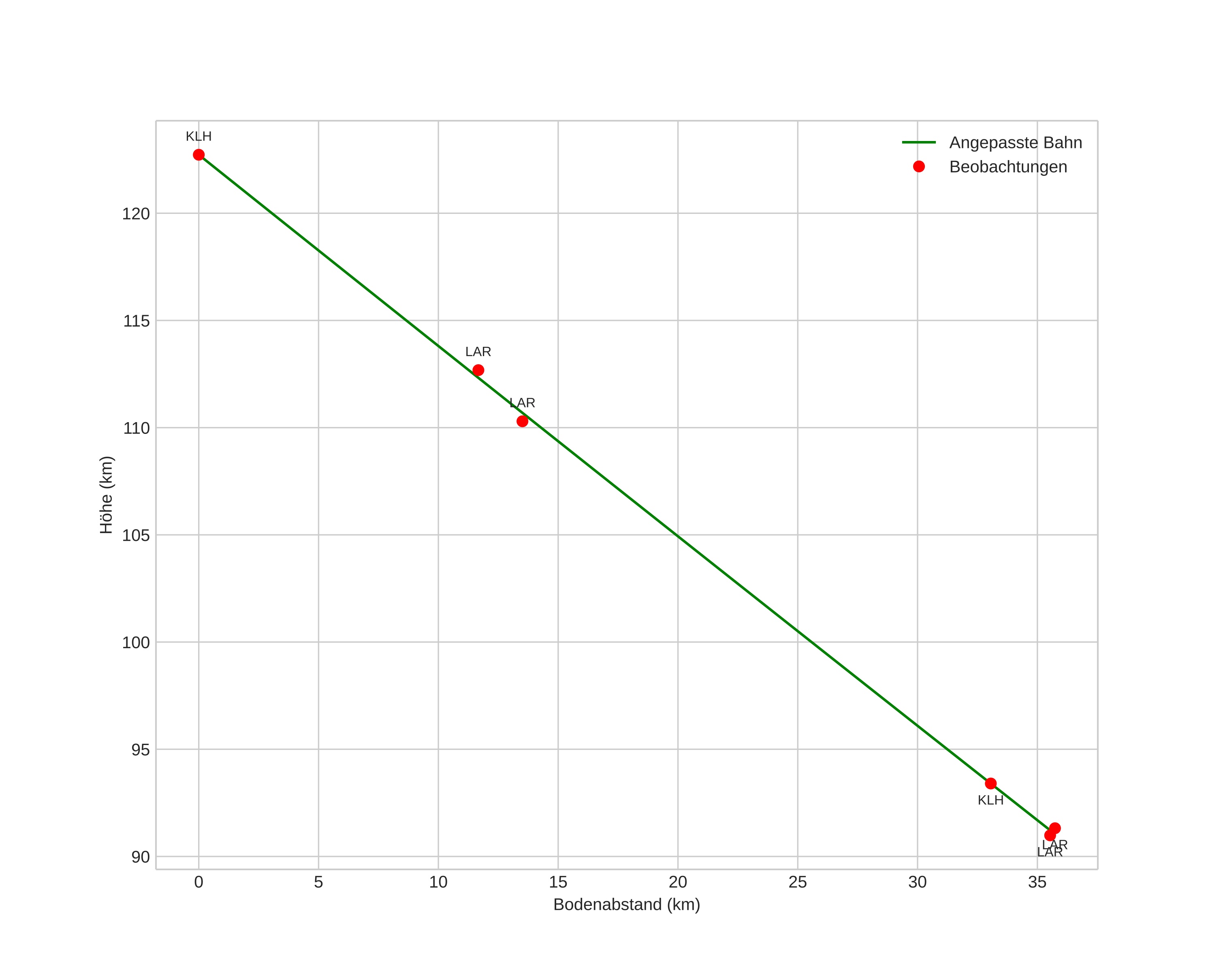
height profile
Atmosphärische Bahn des Meteors:
Anfangshöhe: 122,4 km
Endhöhe: 91,1 km
Startposition: 58,244N 10,454E
Endposition: 58,173N 9,864E
Richtung: 257,4°
Neigungswinkel: 41,4°
Eintrittsgeschwindigkeit: 68,2 km/s
Rektaszension des Radianten: 02:32 (38,2°)
Deklination des Radianten: 40,2°
Meteorstrom: september-epsilon-perseidene
Bahnelemente des Meteoroiden:
Periheldistanz: 0,706 AU
Exzentrizität: 1,284
Inklination: 133,8°
Länge des aufsteigenden Knotens: 164,2°
Argument des Perihels: 242,1°
Mittlere Anomalie: -8,0°
Epoche: 2021 SEP 06 21:51:01
orbit plot

Nicht-interaktives Diagramm | Interaktives Diagramm

position vs time
speed and acceleration