🇳🇴 🇬🇧 🇩🇪 🇨🇿 🇫🇮

Meteor, poloha: Hjallerup 2021-09-08 20:07:04 UTC

Soubor KML  |  InteraktivnĂ­ mapa

Mapa zobrazuje dráhy meteoru. Světlejší čáry ukazují směry od pozorovacích stanic při objevení se meteoru a tmavší čáry, kde byl naposledy viděn. Modrá šipka značí viditelnou dráhu meteoru.

static map
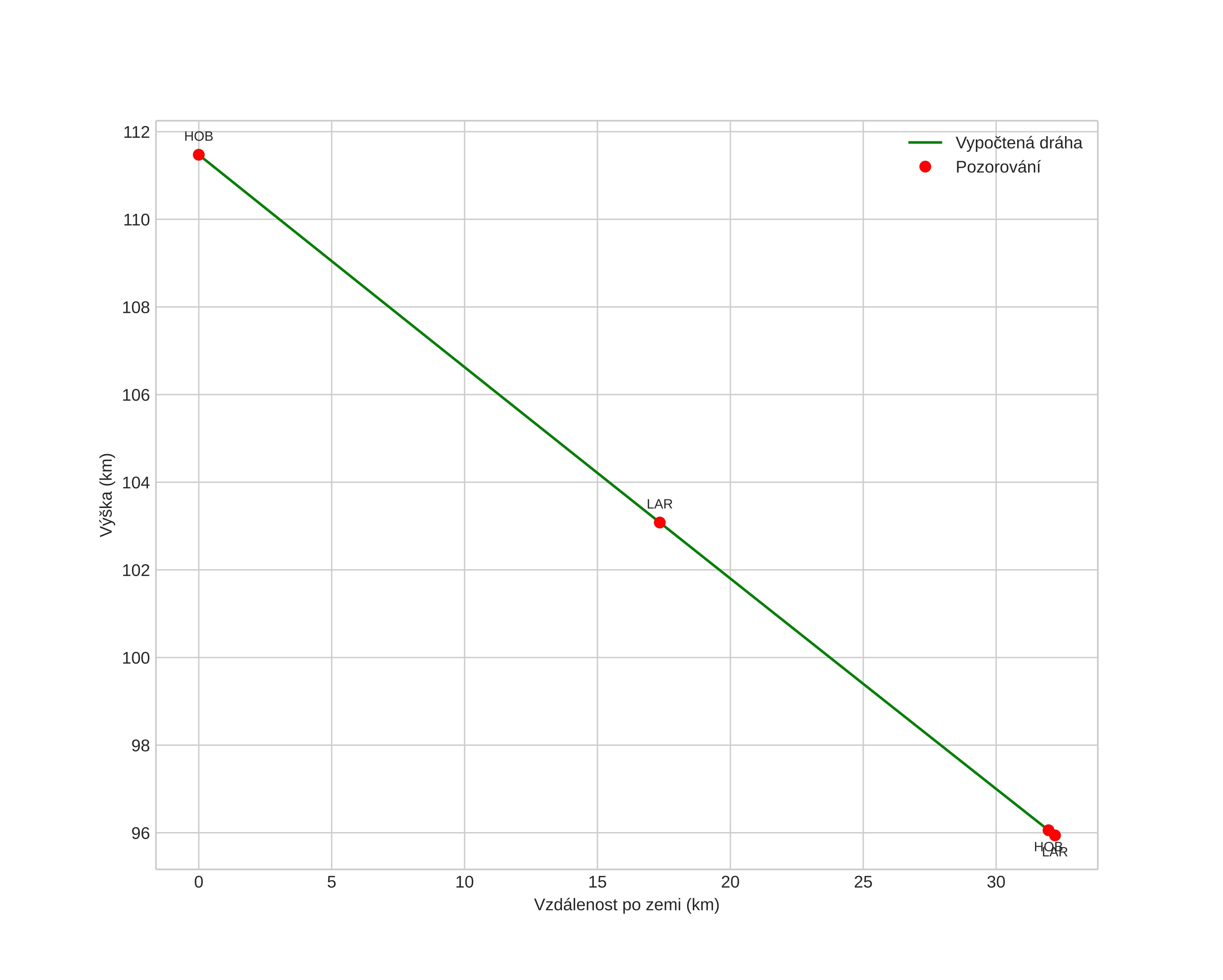
height profile
Atmosférická dráha meteoru:
Počáteční výška: 111,0 km
Konečná výška: 96,0 km
Počáteční poloha: 57,286N 10,561E
Konečná poloha: 57,123N 10,124E
Směr: 235,7°
Sklon: 25,2°
VstupnĂ­ rychlost: 63,5 km/s
Rektascenze radiantu: 03:01 (45,4°)
Deklinace radiantu: 38,9°
MeteorickĂ˝ roj: september-epsilon-perseidene
Elementy dráhy meteoroidu:
Vzdálenost v periheliu: 0,669 AU
Excentricita: 0,867
Sklon dráhy: 137,9°
Délka vzestupného uzlu: 166,1°
Argument perihelia: 253,9°
Střední anomálie: 356,5°
Epocha: 2021 SEP 08 20:07:04
orbit plot

NeinteraktivnĂ­ graf | InteraktivnĂ­ graf

position vs time
speed and acceleration