🇳🇴 🇬🇧 🇩🇪 🇨🇿 🇫🇮

Meteor Hjallerupin yllä 2021-09-08 20:07:04 UTC

KML-tiedosto  |  Interaktiivinen kartta

Kartta näyttää meteorin suuntahavainnot. Vaaleammat viivat näyttävät suunnat havaintoasemilta meteorin ilmestyessä, ja tummemmat viivat näyttävät, missä se viimeksi nähtiin. Sininen nuoli näyttää meteorin näkyvän lennon.

static map
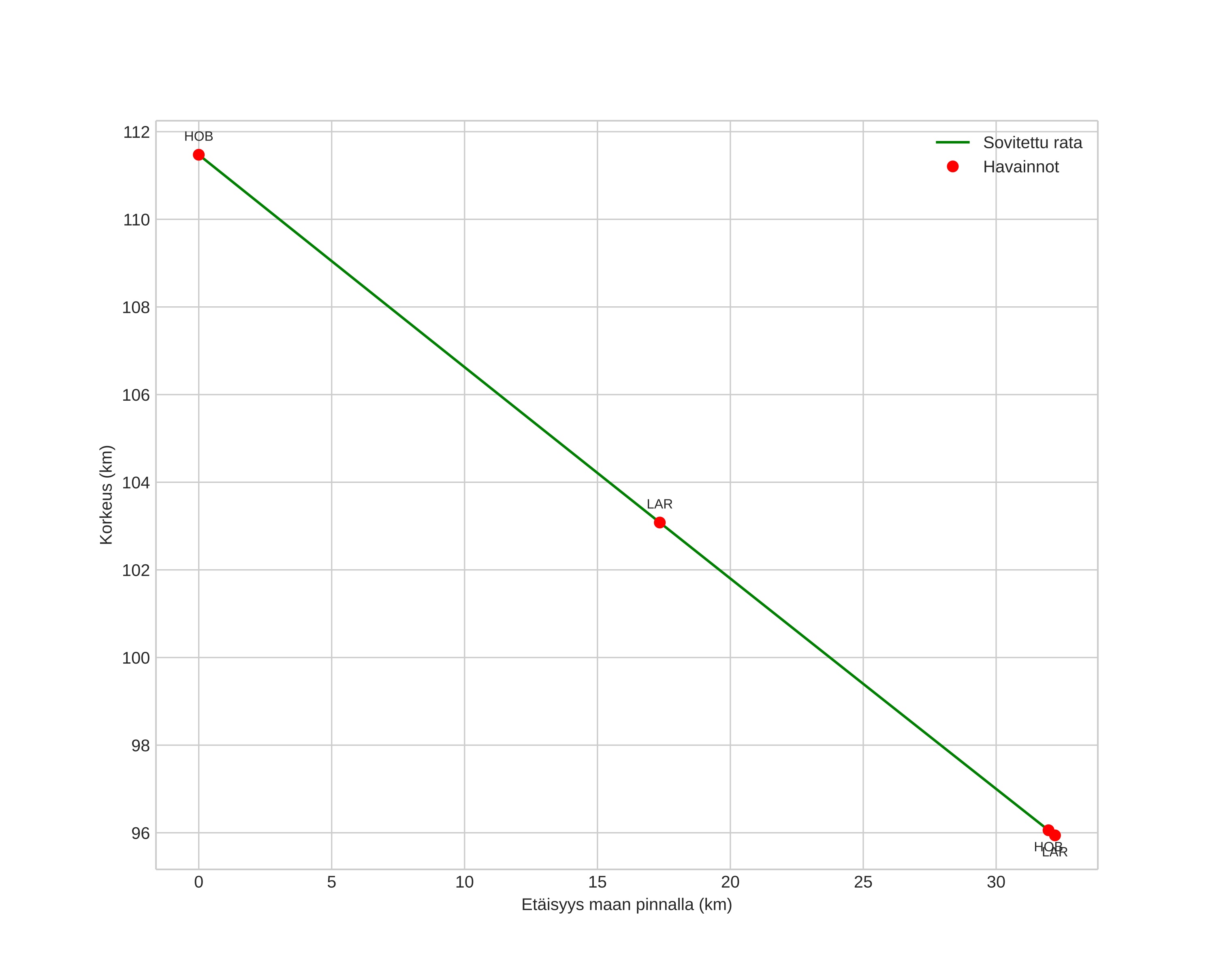
height profile
Meteorin ilmakehärata:
Alkukorkeus: 111,0 km
Loppukorkeus: 96,0 km
Alkupiste: 57,286N 10,561E
Loppupiste: 57,123N 10,124E
Suunta: 235,7°
Kallistuskulma: 25,2°
Tulonopeus: 63,5 km/s
Radiantin R,A,: 03:01 (45,4°)
Radiantin Dekl,: 38,9°
Meteoriparvi: september-epsilon-perseidene
Meteoroidin rataelementit:
Perihelietäisyys: 0,669 AU
Eksentrisyys: 0,867
Inklinaatio: 137,9°
Nousevan solmun pituus: 166,1°
Perihelin argumentti: 253,9°
Keskianomalia: 356,5°
Epookki: 2021 SEP 08 20:07:04
orbit plot

Ei-interaktiivinen kuvaaja | Interaktiivinen kuvaaja

position vs time
speed and acceleration