🇳🇴 🇬🇧 🇩🇪 🇨🇿 🇫🇮

Meteor, poloha: Skreia 2021-09-14 01:59:12 UTC

Soubor KML  |  InteraktivnĂ­ mapa

Mapa zobrazuje dráhy meteoru. Světlejší čáry ukazují směry od pozorovacích stanic při objevení se meteoru a tmavší čáry, kde byl naposledy viděn. Modrá šipka značí viditelnou dráhu meteoru.

static map
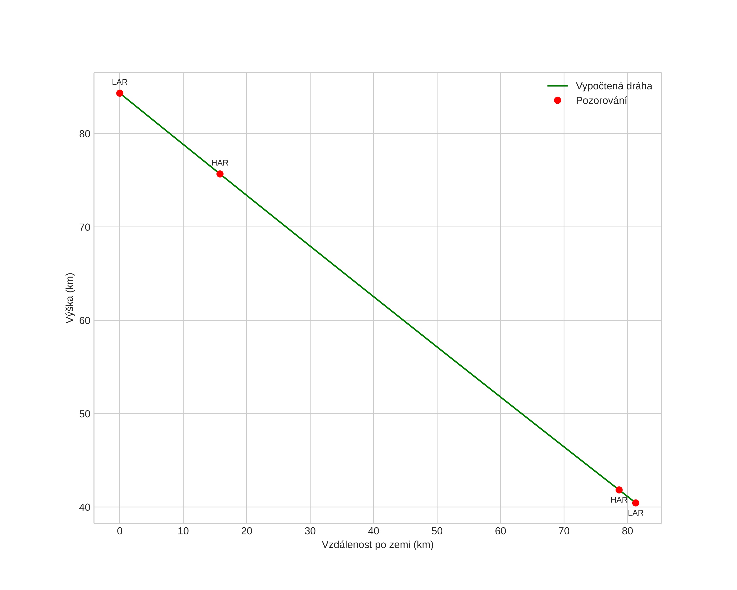
height profile
Atmosférická dráha meteoru:
Počáteční výška: 83,2 km
Konečná výška: 40,1 km
Počáteční poloha: 60,463N 9,502E
Konečná poloha: 60,630N 10,954E
Směr: 76,2°
Sklon: 27,9°
VstupnĂ­ rychlost: 16,7 km/s
Rektascenze radiantu: 21:30 (322,7°)
Deklinace radiantu: 8,8°
MeteorickĂ˝ roj: sporadickĂ˝
Elementy dráhy meteoroidu:
Vzdálenost v periheliu: 0,869 AU
Excentricita: 0,566
Sklon dráhy: 8,0°
Délka vzestupného uzlu: 171,2°
Argument perihelia: 231,4°
Střední anomálie: 347,0°
Epocha: 2021 SEP 14 01:59:12
orbit plot

NeinteraktivnĂ­ graf | InteraktivnĂ­ graf

position vs time
speed and acceleration

Harestua () cam1

gnomonic
Videa
Obrázky
Textové soubory
• Detekce
• Protokol
Jasnost