🇳🇴 🇬🇧 🇩🇪 🇨🇿 🇫🇮

Meteor über Skreia 2021-09-14 01:59:12 UTC

KML-Datei  |  Interaktive Karte

Die Karte zeigt die Peilungen für den Meteor. Die helleren Linien zeigen die Richtungen von den Beobachtungsorten beim Erscheinen des Meteors, und die dunkleren Linien, wo er zuletzt gesehen wurde. Der blaue Pfeil zeigt die sichtbare Bahn des Meteors.

static map
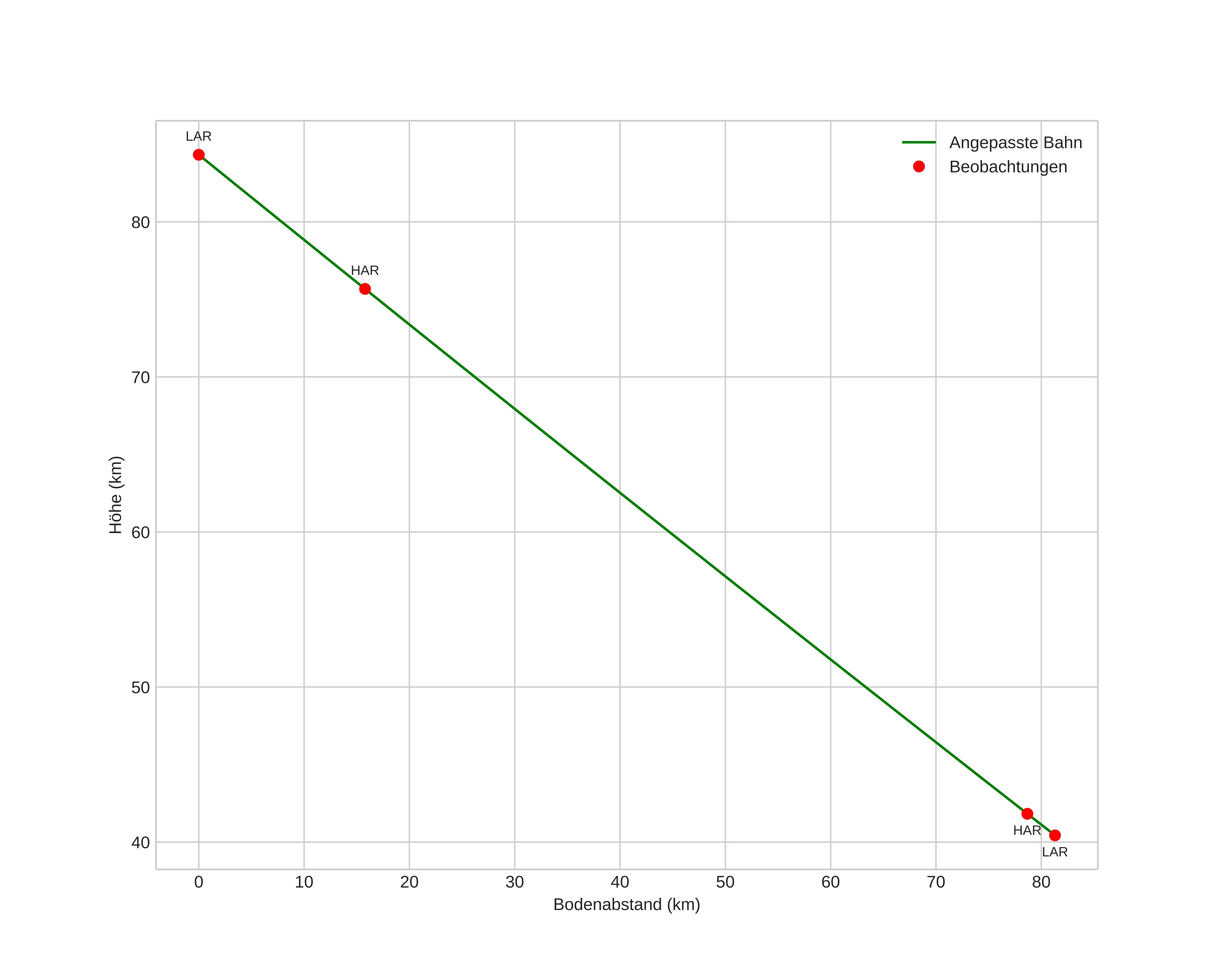
height profile
Atmosphärische Bahn des Meteors:
Anfangshöhe: 83,2 km
Endhöhe: 40,1 km
Startposition: 60,463N 9,502E
Endposition: 60,630N 10,954E
Richtung: 76,2°
Neigungswinkel: 27,9°
Eintrittsgeschwindigkeit: 16,7 km/s
Rektaszension des Radianten: 21:30 (322,7°)
Deklination des Radianten: 8,8°
Meteorstrom: sporadisch
Bahnelemente des Meteoroiden:
Periheldistanz: 0,869 AU
Exzentrizität: 0,566
Inklination: 8,0°
Länge des aufsteigenden Knotens: 171,2°
Argument des Perihels: 231,4°
Mittlere Anomalie: 347,0°
Epoche: 2021 SEP 14 01:59:12
orbit plot

Nicht-interaktives Diagramm | Interaktives Diagramm

position vs time
speed and acceleration

Harestua () cam1

gnomonic
Videos
Bilder
Textdateien
• Erkennung
• Protokoll
Helligkeit