🇳🇴 🇬🇧 🇩🇪 🇨🇿 🇫🇮

Meteor Skreian yllä 2021-09-14 01:59:12 UTC

KML-tiedosto  |  Interaktiivinen kartta

Kartta näyttää meteorin suuntahavainnot. Vaaleammat viivat näyttävät suunnat havaintoasemilta meteorin ilmestyessä, ja tummemmat viivat näyttävät, missä se viimeksi nähtiin. Sininen nuoli näyttää meteorin näkyvän lennon.

static map
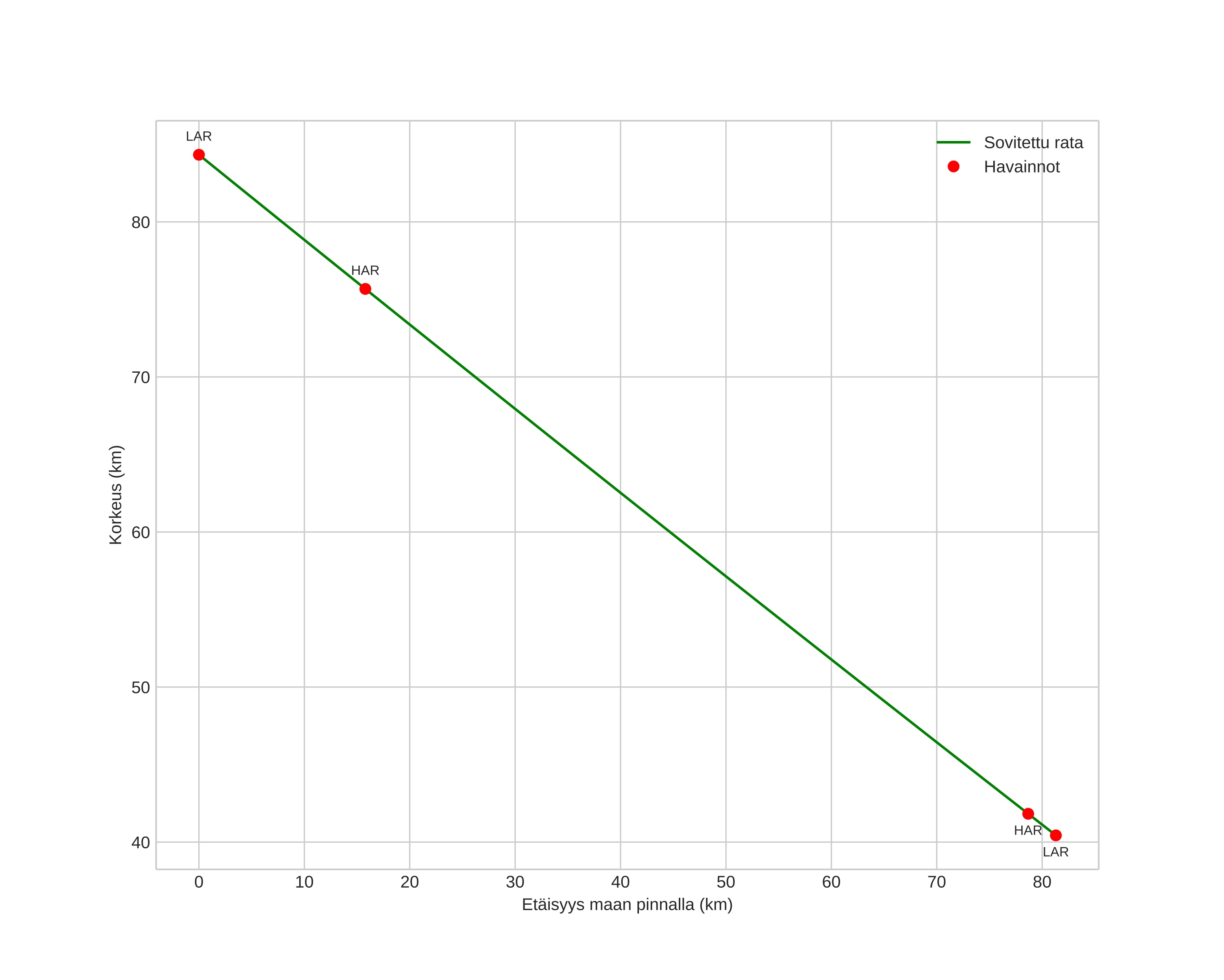
height profile
Meteorin ilmakehärata:
Alkukorkeus: 83,2 km
Loppukorkeus: 40,1 km
Alkupiste: 60,463N 9,502E
Loppupiste: 60,630N 10,954E
Suunta: 76,2°
Kallistuskulma: 27,9°
Tulonopeus: 16,7 km/s
Radiantin R,A,: 21:30 (322,7°)
Radiantin Dekl,: 8,8°
Meteoriparvi: Sporadinen
Meteoroidin rataelementit:
Perihelietäisyys: 0,869 AU
Eksentrisyys: 0,566
Inklinaatio: 8,0°
Nousevan solmun pituus: 171,2°
Perihelin argumentti: 231,4°
Keskianomalia: 347,0°
Epookki: 2021 SEP 14 01:59:12
orbit plot

Ei-interaktiivinen kuvaaja | Interaktiivinen kuvaaja

position vs time
speed and acceleration

Harestua () cam1

gnomonic
Videot:
Kuvat:
Tekstitiedostot:
• Havaintoraportti
• Loki
Kirkkaus