🇳🇴 🇬🇧 🇩🇪 🇨🇿 🇫🇮

Meteor, poloha: Frederiksberg 2021-10-12 02:45:59 UTC

Soubor KML  |  InteraktivnĂ­ mapa

Mapa zobrazuje dráhy meteoru. Světlejší čáry ukazují směry od pozorovacích stanic při objevení se meteoru a tmavší čáry, kde byl naposledy viděn. Modrá šipka značí viditelnou dráhu meteoru.

static map
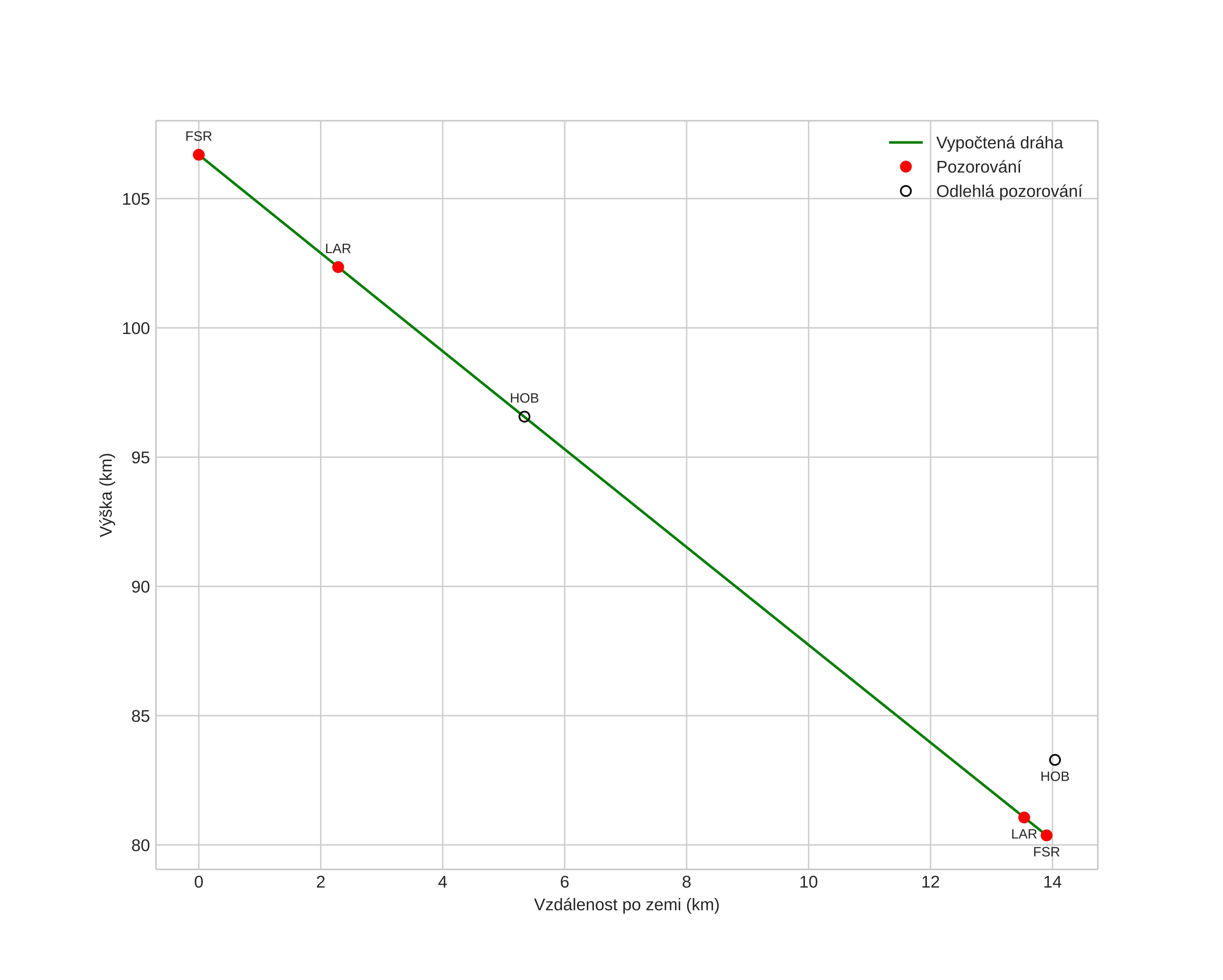
height profile
Atmosférická dráha meteoru:
Počáteční výška: 107,2 km
Konečná výška: 80,8 km
Počáteční poloha: 55,360N 11,791E
Konečná poloha: 55,453N 11,642E
Směr: 317,9°
Sklon: 62,0°
VstupnĂ­ rychlost: 73,0 km/s
Rektascenze radiantu: 06:21 (95,3°)
Deklinace radiantu: 31,7°
MeteorickĂ˝ roj: sporadickĂ˝
Elementy dráhy meteoroidu:
Vzdálenost v periheliu: 0,849 AU
Excentricita: 1,189
Sklon dráhy: 165,1°
Délka vzestupného uzlu: 198,7°
Argument perihelia: 223,6°
Střední anomálie: -2,7°
Epocha: 2021 OCT 12 02:45:59
orbit plot

NeinteraktivnĂ­ graf | InteraktivnĂ­ graf

position vs time
speed and acceleration