🇳🇴 🇬🇧 🇩🇪 🇨🇿 🇫🇮

Meteor über Frederiksberg 2021-10-12 02:45:59 UTC

KML-Datei  |  Interaktive Karte

Die Karte zeigt die Peilungen für den Meteor. Die helleren Linien zeigen die Richtungen von den Beobachtungsorten beim Erscheinen des Meteors, und die dunkleren Linien, wo er zuletzt gesehen wurde. Der blaue Pfeil zeigt die sichtbare Bahn des Meteors.

static map
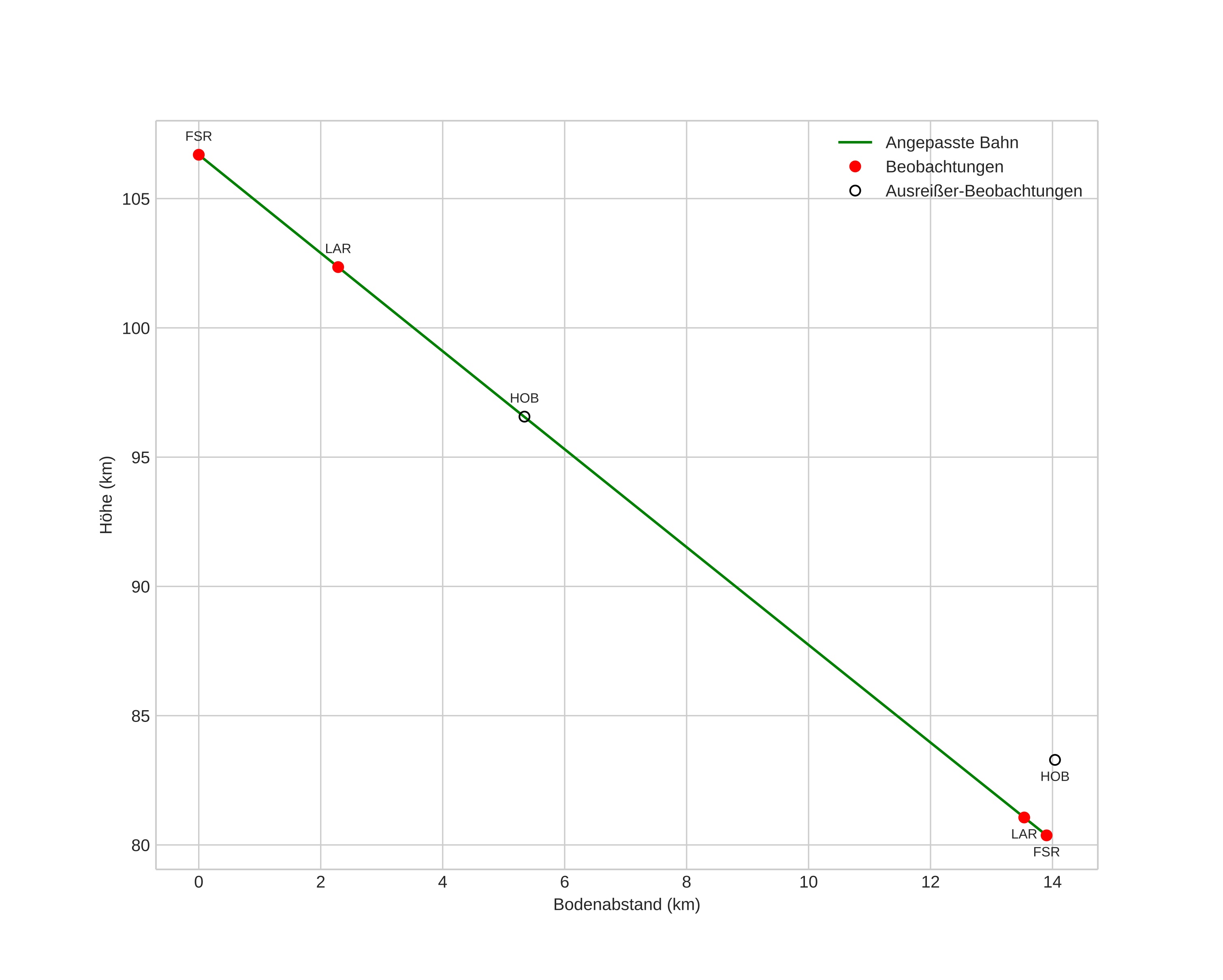
height profile
Atmosphärische Bahn des Meteors:
Anfangshöhe: 107,2 km
Endhöhe: 80,8 km
Startposition: 55,360N 11,791E
Endposition: 55,453N 11,642E
Richtung: 317,9°
Neigungswinkel: 62,0°
Eintrittsgeschwindigkeit: 73,0 km/s
Rektaszension des Radianten: 06:21 (95,3°)
Deklination des Radianten: 31,7°
Meteorstrom: sporadisch
Bahnelemente des Meteoroiden:
Periheldistanz: 0,849 AU
Exzentrizität: 1,189
Inklination: 165,1°
Länge des aufsteigenden Knotens: 198,7°
Argument des Perihels: 223,6°
Mittlere Anomalie: -2,7°
Epoche: 2021 OCT 12 02:45:59
orbit plot

Nicht-interaktives Diagramm | Interaktives Diagramm

position vs time
speed and acceleration