🇳🇴 🇬🇧 🇩🇪 🇨🇿 🇫🇮

Meteor Frederiksbergin yllä 2021-10-12 02:45:59 UTC

KML-tiedosto  |  Interaktiivinen kartta

Kartta näyttää meteorin suuntahavainnot. Vaaleammat viivat näyttävät suunnat havaintoasemilta meteorin ilmestyessä, ja tummemmat viivat näyttävät, missä se viimeksi nähtiin. Sininen nuoli näyttää meteorin näkyvän lennon.

static map
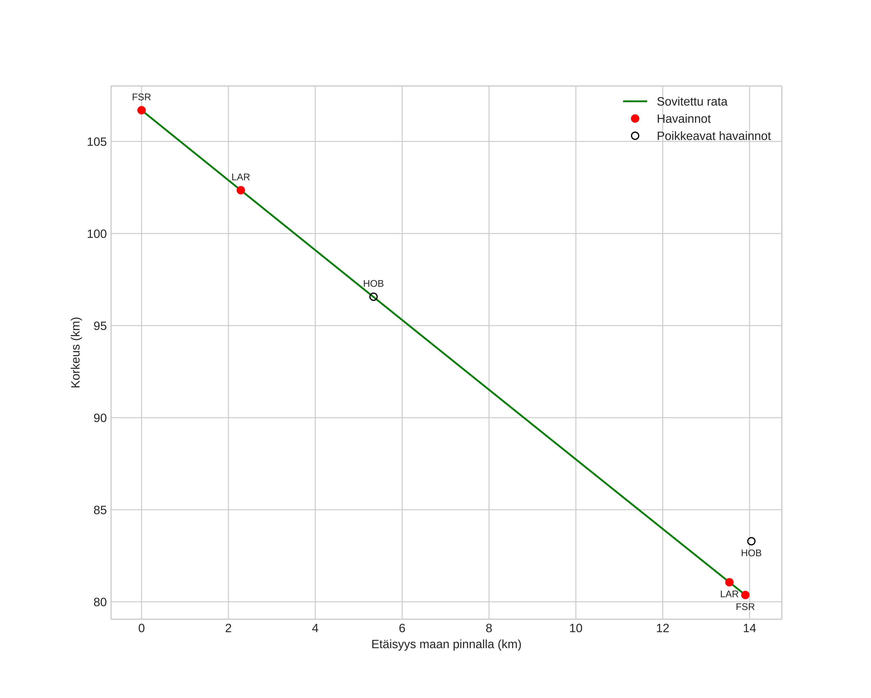
height profile
Meteorin ilmakehärata:
Alkukorkeus: 107,2 km
Loppukorkeus: 80,8 km
Alkupiste: 55,360N 11,791E
Loppupiste: 55,453N 11,642E
Suunta: 317,9°
Kallistuskulma: 62,0°
Tulonopeus: 73,0 km/s
Radiantin R,A,: 06:21 (95,3°)
Radiantin Dekl,: 31,7°
Meteoriparvi: Sporadinen
Meteoroidin rataelementit:
Perihelietäisyys: 0,849 AU
Eksentrisyys: 1,189
Inklinaatio: 165,1°
Nousevan solmun pituus: 198,7°
Perihelin argumentti: 223,6°
Keskianomalia: -2,7°
Epookki: 2021 OCT 12 02:45:59
orbit plot

Ei-interaktiivinen kuvaaja | Interaktiivinen kuvaaja

position vs time
speed and acceleration