🇳🇴 🇬🇧 🇩🇪 🇨🇿 🇫🇮

Meteor, poloha: Treungen 2021-10-20 19:14:32 UTC

Soubor KML  |  InteraktivnĂ­ mapa

Mapa zobrazuje dráhy meteoru. Světlejší čáry ukazují směry od pozorovacích stanic při objevení se meteoru a tmavší čáry, kde byl naposledy viděn. Modrá šipka značí viditelnou dráhu meteoru.

static map
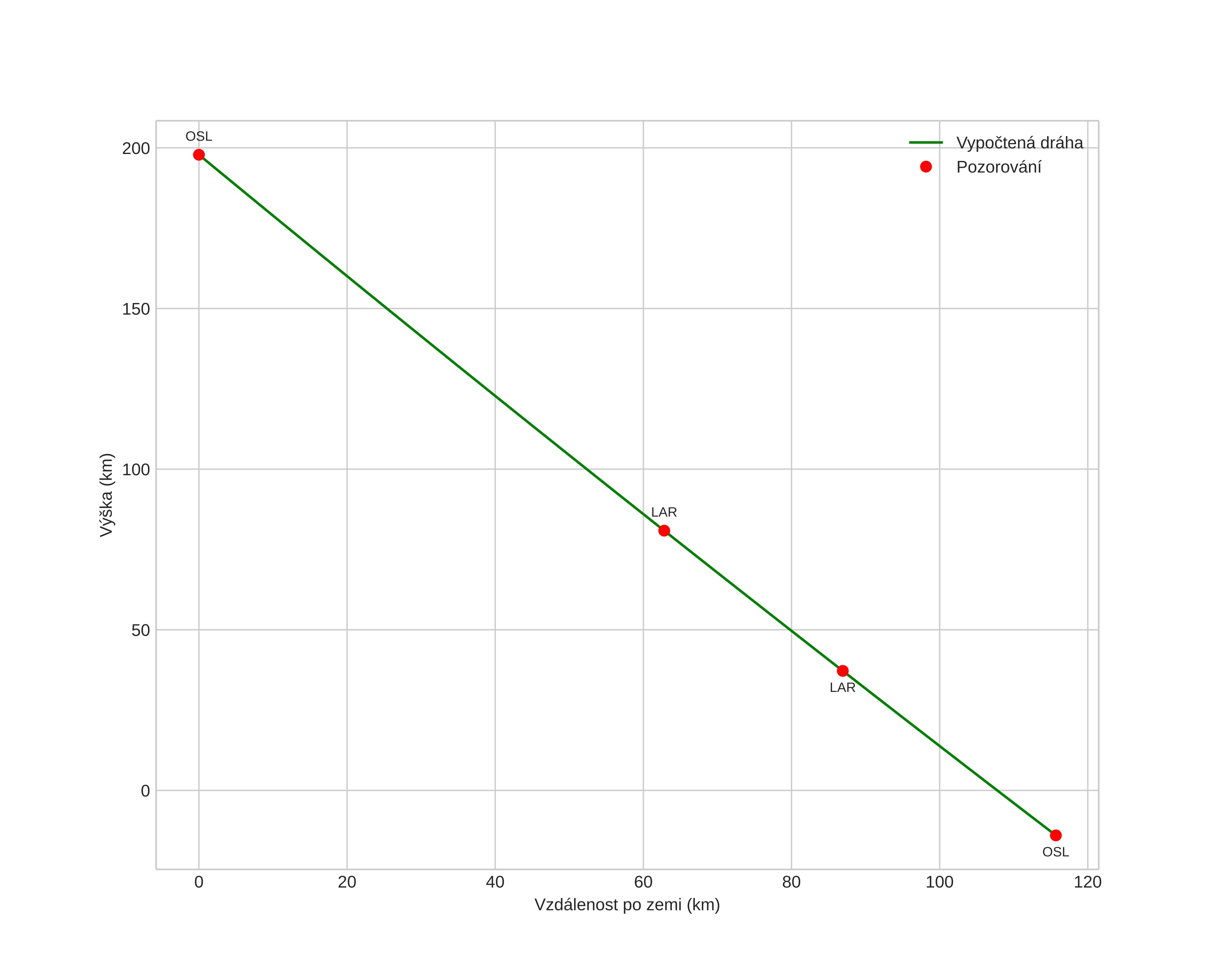
height profile
Atmosférická dráha meteoru:
Počáteční výška: 81,0 km
Konečná výška: 37,3 km
Počáteční poloha: 58,817N 8,684E
Konečná poloha: 59,010N 8,495E
Směr: 333,2°
Sklon: 61,1°
VstupnĂ­ rychlost: 17,4 km/s
Rektascenze radiantu: 22:45 (341,5°)
Deklinace radiantu: 27,9°
MeteorickĂ˝ roj: sporadickĂ˝
Elementy dráhy meteoroidu:
Vzdálenost v periheliu: 0,908 AU
Excentricita: 0,648
Sklon dráhy: 11,4°
Délka vzestupného uzlu: 207,3°
Argument perihelia: 219,2°
Střední anomálie: 353,2°
Epocha: 2021 OCT 20 19:14:32
orbit plot

NeinteraktivnĂ­ graf | InteraktivnĂ­ graf

position vs time
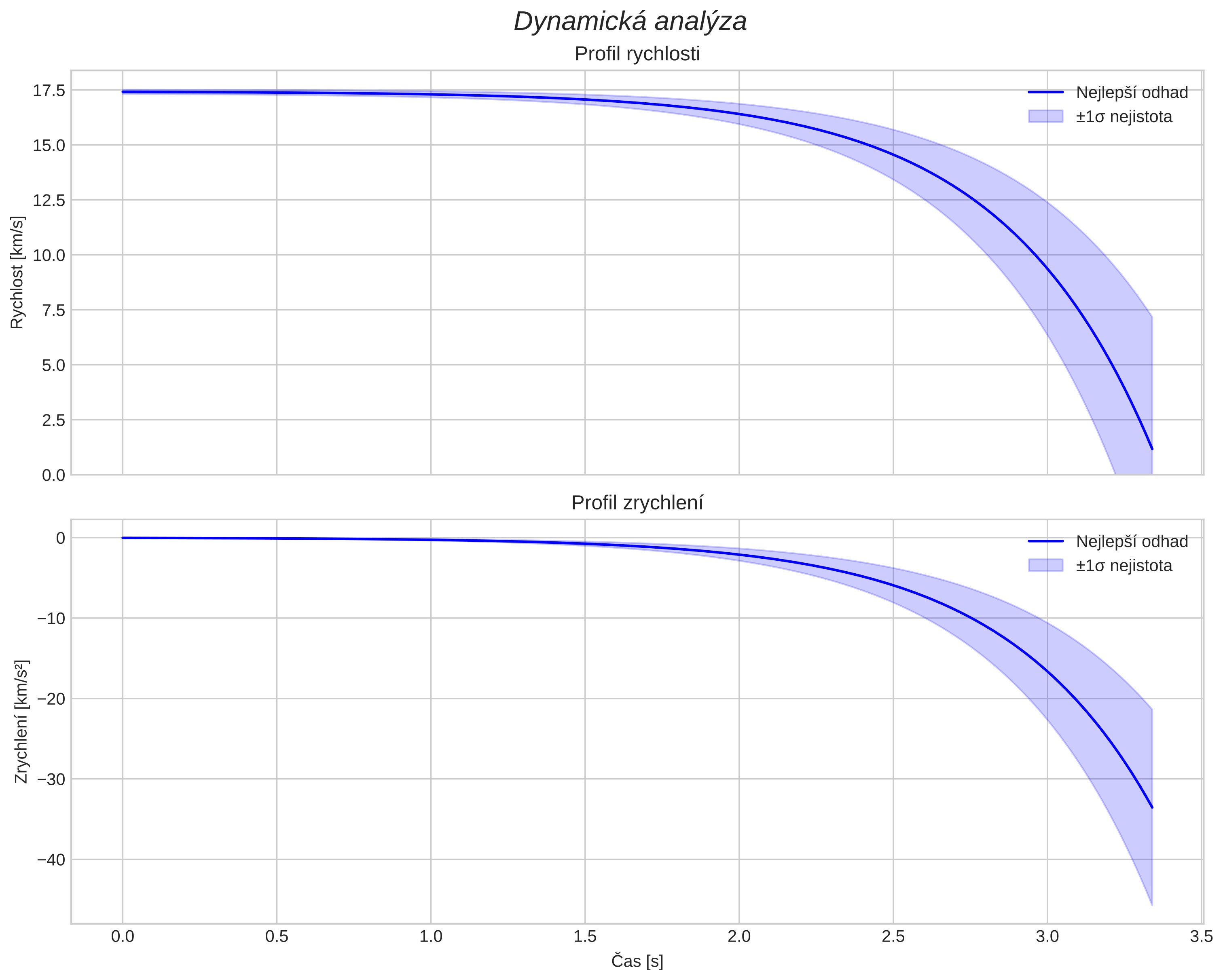
speed and acceleration

Harestua () cam4

gnomonic
Videa
Obrázky
Textové soubory
• Detekce
• Protokol
Jasnost