🇳🇴 🇬🇧 🇩🇪 🇨🇿 🇫🇮

Meteor Treungenin yllä 2021-10-20 19:14:32 UTC

KML-tiedosto  |  Interaktiivinen kartta

Kartta näyttää meteorin suuntahavainnot. Vaaleammat viivat näyttävät suunnat havaintoasemilta meteorin ilmestyessä, ja tummemmat viivat näyttävät, missä se viimeksi nähtiin. Sininen nuoli näyttää meteorin näkyvän lennon.

static map
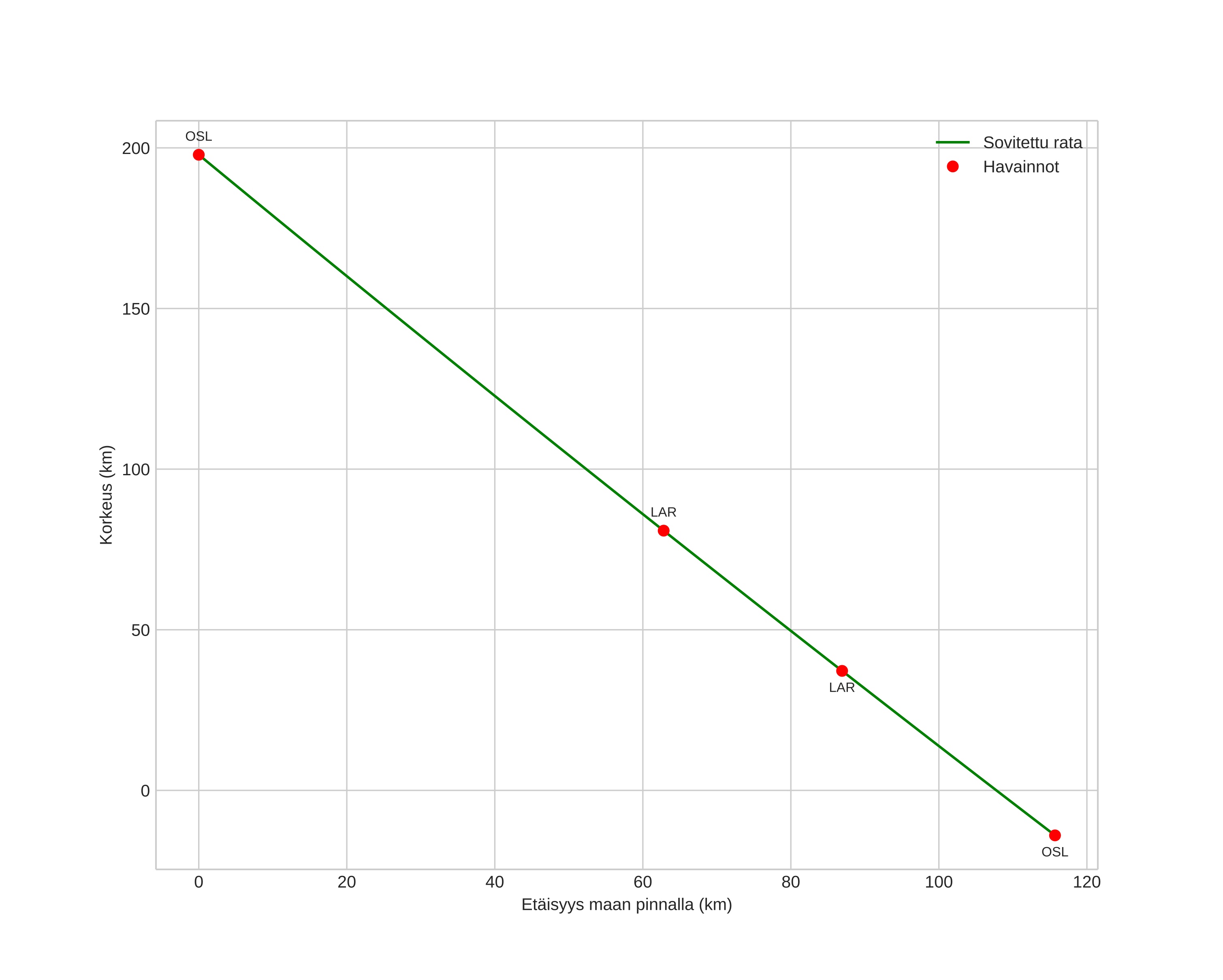
height profile
Meteorin ilmakehärata:
Alkukorkeus: 81,0 km
Loppukorkeus: 37,3 km
Alkupiste: 58,817N 8,684E
Loppupiste: 59,010N 8,495E
Suunta: 333,2°
Kallistuskulma: 61,1°
Tulonopeus: 17,4 km/s
Radiantin R,A,: 22:45 (341,5°)
Radiantin Dekl,: 27,9°
Meteoriparvi: Sporadinen
Meteoroidin rataelementit:
Perihelietäisyys: 0,908 AU
Eksentrisyys: 0,648
Inklinaatio: 11,4°
Nousevan solmun pituus: 207,3°
Perihelin argumentti: 219,2°
Keskianomalia: 353,2°
Epookki: 2021 OCT 20 19:14:32
orbit plot

Ei-interaktiivinen kuvaaja | Interaktiivinen kuvaaja

position vs time
speed and acceleration

Harestua () cam4

gnomonic
Videot:
Kuvat:
Tekstitiedostot:
• Havaintoraportti
• Loki
Kirkkaus