🇳🇴 🇬🇧 🇩🇪 🇨🇿 🇫🇮

Meteor über Treungen 2021-10-20 19:14:32 UTC

KML-Datei  |  Interaktive Karte

Die Karte zeigt die Peilungen für den Meteor. Die helleren Linien zeigen die Richtungen von den Beobachtungsorten beim Erscheinen des Meteors, und die dunkleren Linien, wo er zuletzt gesehen wurde. Der blaue Pfeil zeigt die sichtbare Bahn des Meteors.

static map
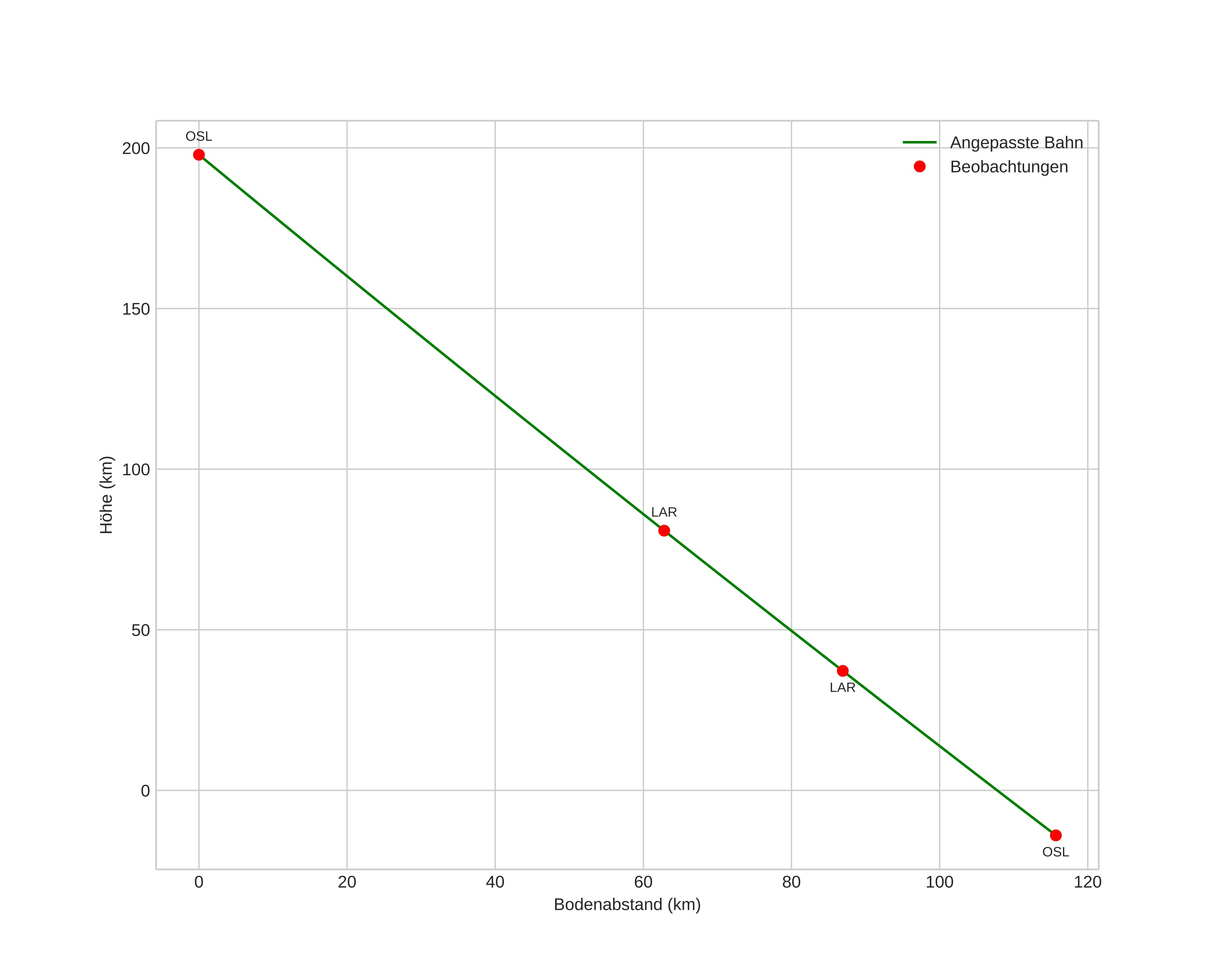
height profile
Atmosphärische Bahn des Meteors:
Anfangshöhe: 81,0 km
Endhöhe: 37,3 km
Startposition: 58,817N 8,684E
Endposition: 59,010N 8,495E
Richtung: 333,2°
Neigungswinkel: 61,1°
Eintrittsgeschwindigkeit: 17,4 km/s
Rektaszension des Radianten: 22:45 (341,5°)
Deklination des Radianten: 27,9°
Meteorstrom: sporadisch
Bahnelemente des Meteoroiden:
Periheldistanz: 0,908 AU
Exzentrizität: 0,648
Inklination: 11,4°
Länge des aufsteigenden Knotens: 207,3°
Argument des Perihels: 219,2°
Mittlere Anomalie: 353,2°
Epoche: 2021 OCT 20 19:14:32
orbit plot

Nicht-interaktives Diagramm | Interaktives Diagramm

position vs time
speed and acceleration

Harestua () cam4

gnomonic
Videos
Bilder
Textdateien
• Erkennung
• Protokoll
Helligkeit