🇳🇴 🇬🇧 🇩🇪 🇨🇿 🇫🇮

Meteor, poloha: Andenes 2021-10-22 22:15:46 UTC

Soubor KML

Mapa zobrazuje dráhy meteoru. Světlejší čáry ukazují směry od pozorovacích stanic při objevení se meteoru a tmavší čáry, kde byl naposledy viděn. Modrá šipka značí viditelnou dráhu meteoru.

static map
height profile
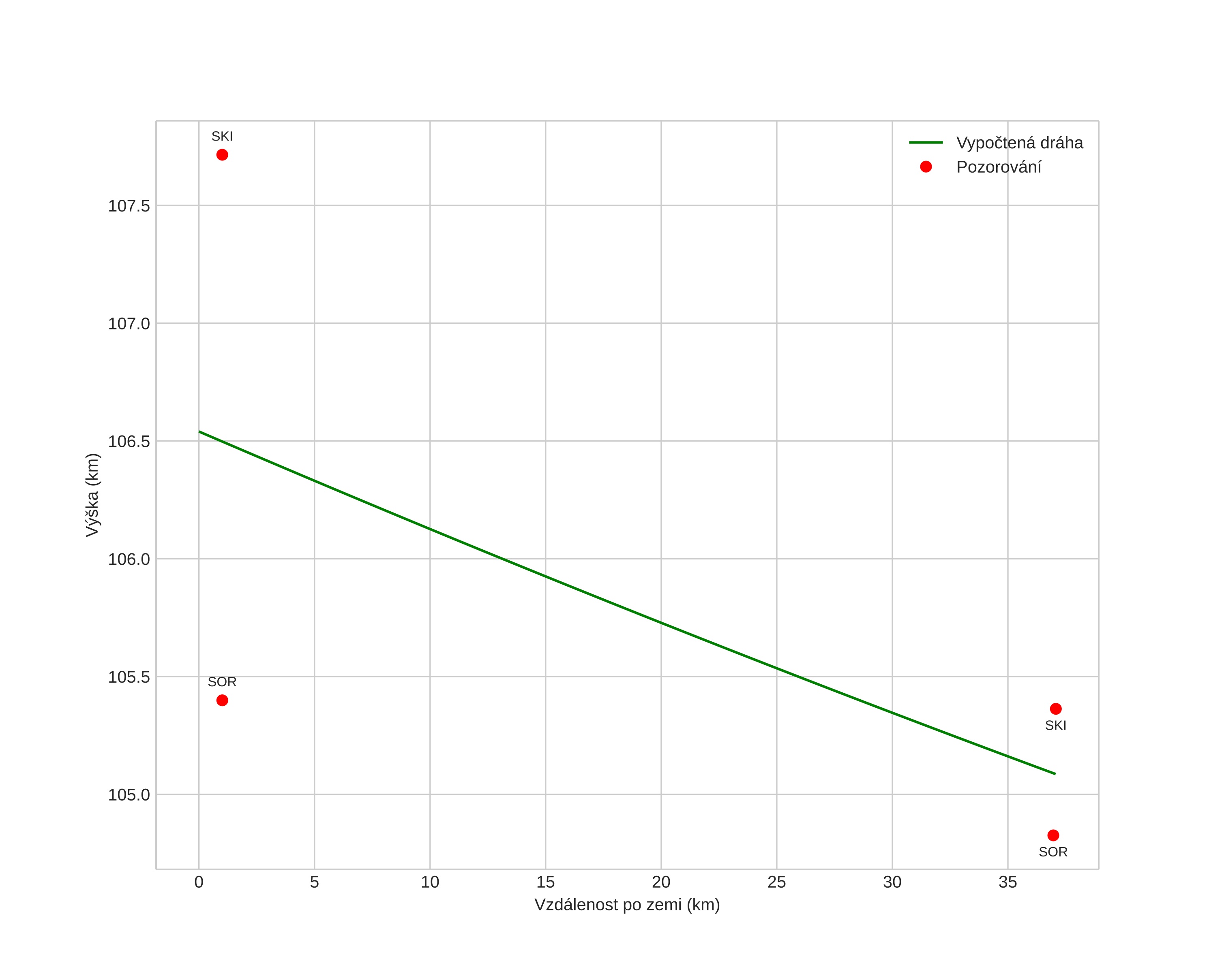
Atmosférická dráha meteoru:
Počáteční výška: 106,5 km
Konečná výška: 105,1 km
Počáteční poloha: 70,218N 17,569E
Konečná poloha: 70,052N 16,717E
Směr: 240,6°
Sklon: 2,2°
VstupnĂ­ rychlost: 49,4 km/s
Rektascenze radiantu: 09:21 (140,5°)
Deklinace radiantu: 10,4°
MeteorickĂ˝ roj: sporadickĂ˝
Elementy dráhy meteoroidu:
Vzdálenost v periheliu: 0,151 AU
Excentricita: 0,781
Sklon dráhy: 165,0°
Délka vzestupného uzlu: 29,4°
Argument perihelia: 200,9°
Střední anomálie: 87,6°
Epocha: 2021 OCT 22 22:15:46
orbit plot

NeinteraktivnĂ­ graf

position vs time
speed and acceleration