🇳🇴 🇬🇧 🇩🇪 🇨🇿 🇫🇮

Meteor Andenesin yllä 2021-10-22 22:15:46 UTC

KML-tiedosto

Kartta näyttää meteorin suuntahavainnot. Vaaleammat viivat näyttävät suunnat havaintoasemilta meteorin ilmestyessä, ja tummemmat viivat näyttävät, missä se viimeksi nähtiin. Sininen nuoli näyttää meteorin näkyvän lennon.

static map
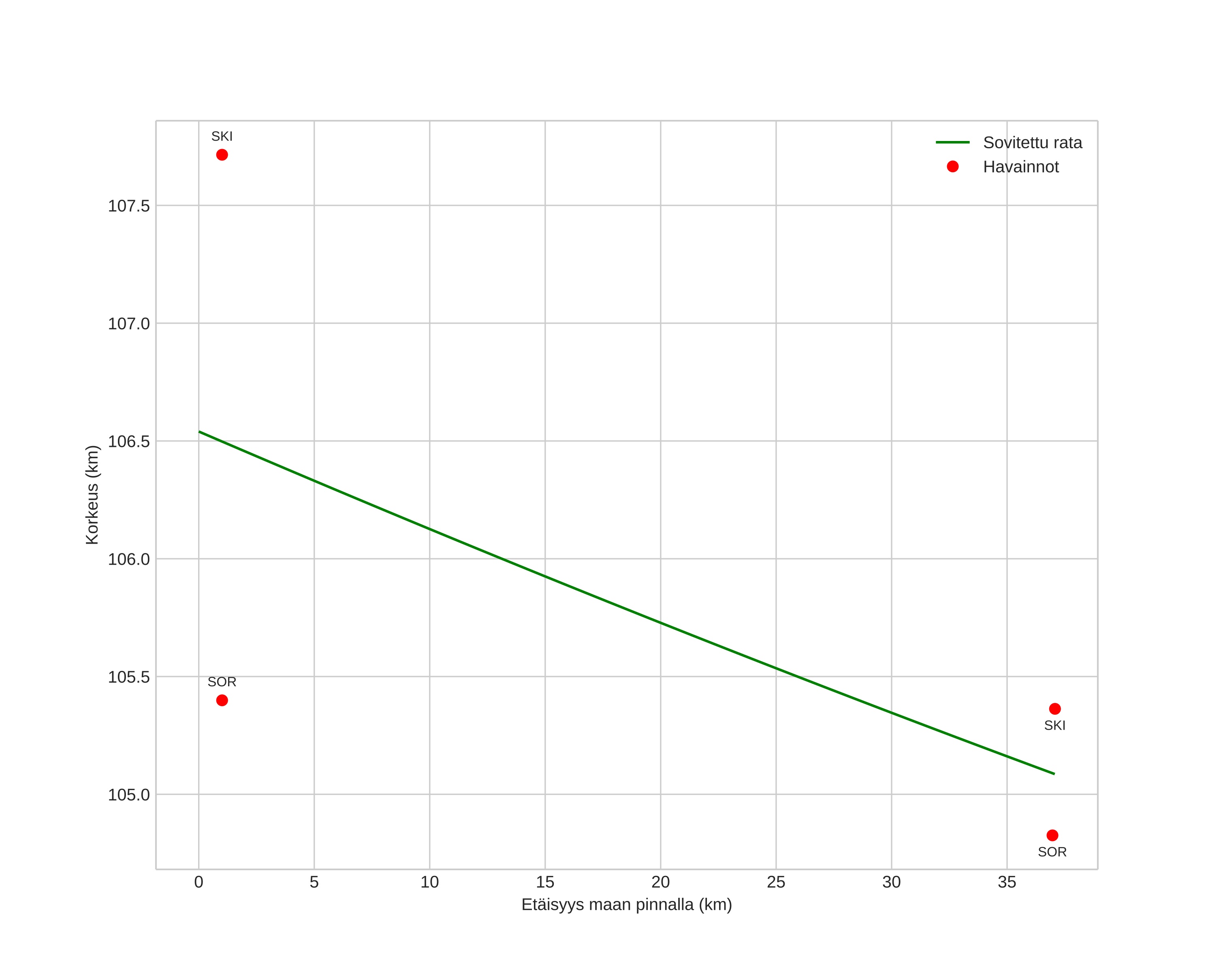
height profile
Meteorin ilmakehärata:
Alkukorkeus: 106,5 km
Loppukorkeus: 105,1 km
Alkupiste: 70,218N 17,569E
Loppupiste: 70,052N 16,717E
Suunta: 240,6°
Kallistuskulma: 2,2°
Tulonopeus: 49,4 km/s
Radiantin R,A,: 09:21 (140,5°)
Radiantin Dekl,: 10,4°
Meteoriparvi: Sporadinen
Meteoroidin rataelementit:
Perihelietäisyys: 0,151 AU
Eksentrisyys: 0,781
Inklinaatio: 165,0°
Nousevan solmun pituus: 29,4°
Perihelin argumentti: 200,9°
Keskianomalia: 87,6°
Epookki: 2021 OCT 22 22:15:46
orbit plot

Ei-interaktiivinen kuvaaja

position vs time
speed and acceleration