🇳🇴 🇬🇧 🇩🇪 🇨🇿 🇫🇮

Meteor über Andenes 2021-10-22 22:15:46 UTC

KML-Datei

Die Karte zeigt die Peilungen für den Meteor. Die helleren Linien zeigen die Richtungen von den Beobachtungsorten beim Erscheinen des Meteors, und die dunkleren Linien, wo er zuletzt gesehen wurde. Der blaue Pfeil zeigt die sichtbare Bahn des Meteors.

static map
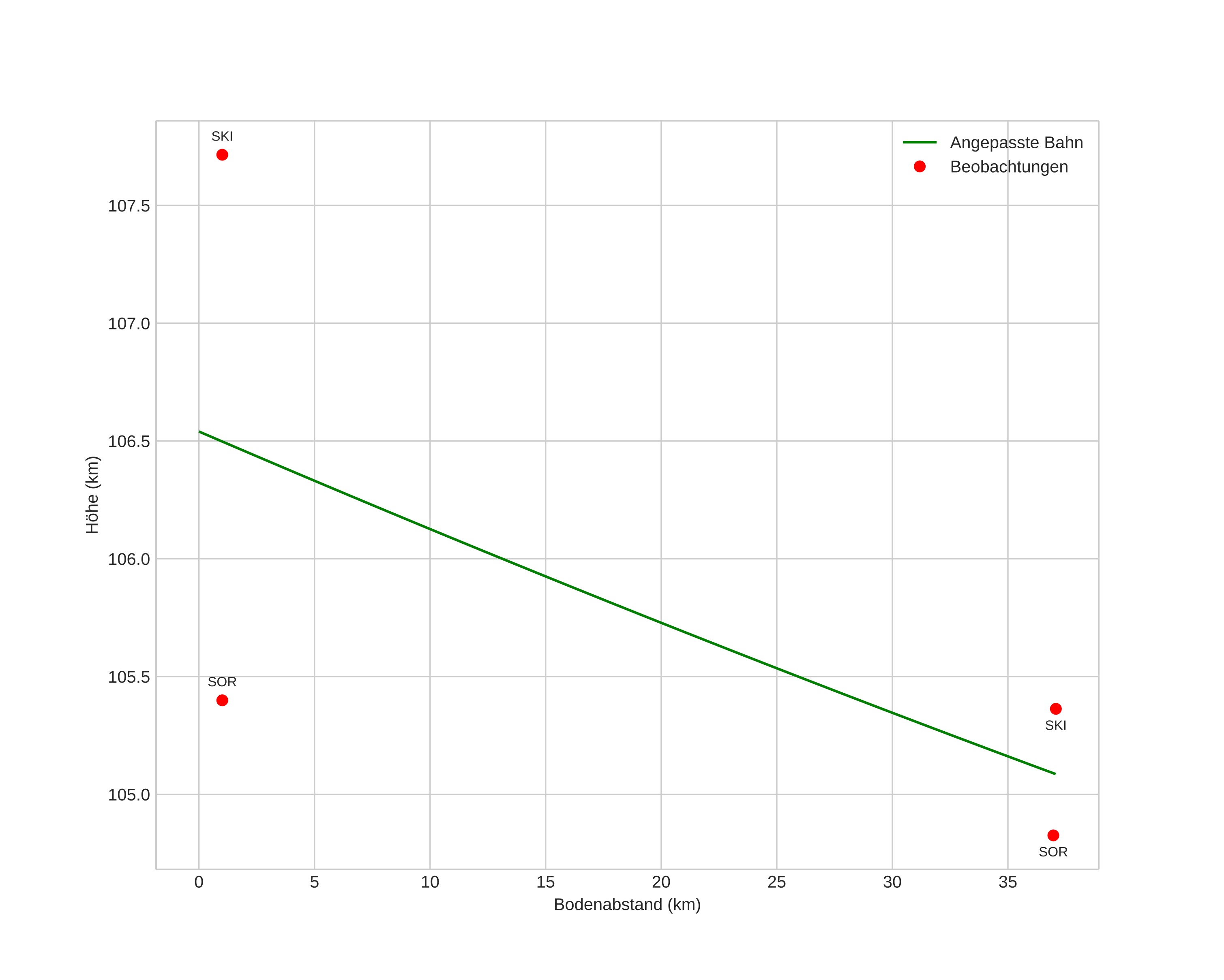
height profile
Atmosphärische Bahn des Meteors:
Anfangshöhe: 106,5 km
Endhöhe: 105,1 km
Startposition: 70,218N 17,569E
Endposition: 70,052N 16,717E
Richtung: 240,6°
Neigungswinkel: 2,2°
Eintrittsgeschwindigkeit: 49,4 km/s
Rektaszension des Radianten: 09:21 (140,5°)
Deklination des Radianten: 10,4°
Meteorstrom: sporadisch
Bahnelemente des Meteoroiden:
Periheldistanz: 0,151 AU
Exzentrizität: 0,781
Inklination: 165,0°
Länge des aufsteigenden Knotens: 29,4°
Argument des Perihels: 200,9°
Mittlere Anomalie: 87,6°
Epoche: 2021 OCT 22 22:15:46
orbit plot

Nicht-interaktives Diagramm

position vs time
speed and acceleration