🇳🇴 🇬🇧 🇩🇪 🇨🇿 🇫🇮

Meteor, poloha: Glommen 2021-10-23 03:00:40 UTC

Soubor KML  |  InteraktivnĂ­ mapa

Mapa zobrazuje dráhy meteoru. Světlejší čáry ukazují směry od pozorovacích stanic při objevení se meteoru a tmavší čáry, kde byl naposledy viděn. Modrá šipka značí viditelnou dráhu meteoru.

static map
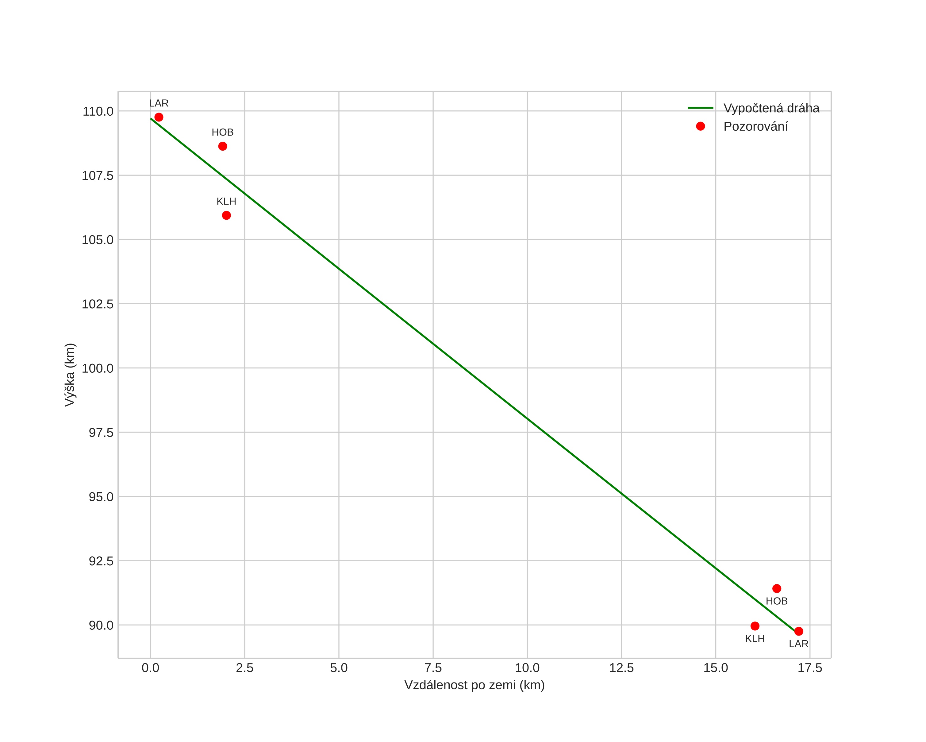
height profile
Atmosférická dráha meteoru:
Počáteční výška: 109,7 km
Konečná výška: 89,7 km
Počáteční poloha: 56,600N 11,976E
Konečná poloha: 56,751N 11,917E
Směr: 347,9°
Sklon: 49,4°
VstupnĂ­ rychlost: 67,7 km/s
Rektascenze radiantu: 06:25 (96,5°)
Deklinace radiantu: 16,1°
MeteorickĂ˝ roj: Orionidy
Elementy dráhy meteoroidu:
Vzdálenost v periheliu: 0,580 AU
Excentricita: 0,973
Sklon dráhy: 164,9°
Délka vzestupného uzlu: 29,6°
Argument perihelia: 81,2°
Střední anomálie: 359,6°
Epocha: 2021 OCT 23 03:00:40
orbit plot

NeinteraktivnĂ­ graf | InteraktivnĂ­ graf

position vs time
speed and acceleration