🇳🇴 🇬🇧 🇩🇪 🇨🇿 🇫🇮

Meteor Glommenin yllä 2021-10-23 03:00:40 UTC

KML-tiedosto  |  Interaktiivinen kartta

Kartta näyttää meteorin suuntahavainnot. Vaaleammat viivat näyttävät suunnat havaintoasemilta meteorin ilmestyessä, ja tummemmat viivat näyttävät, missä se viimeksi nähtiin. Sininen nuoli näyttää meteorin näkyvän lennon.

static map
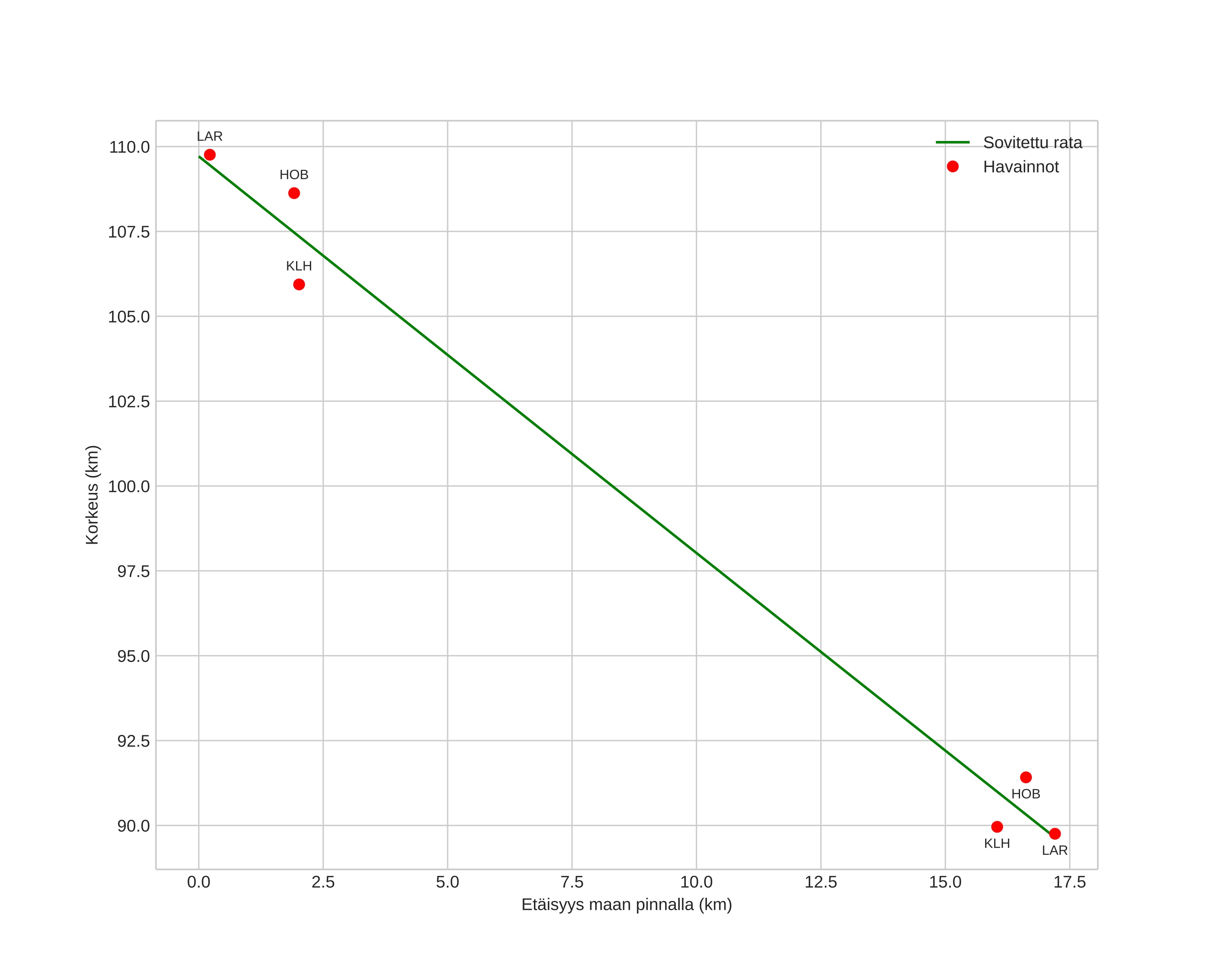
height profile
Meteorin ilmakehärata:
Alkukorkeus: 109,7 km
Loppukorkeus: 89,7 km
Alkupiste: 56,600N 11,976E
Loppupiste: 56,751N 11,917E
Suunta: 347,9°
Kallistuskulma: 49,4°
Tulonopeus: 67,7 km/s
Radiantin R,A,: 06:25 (96,5°)
Radiantin Dekl,: 16,1°
Meteoriparvi: Orionidit
Meteoroidin rataelementit:
Perihelietäisyys: 0,580 AU
Eksentrisyys: 0,973
Inklinaatio: 164,9°
Nousevan solmun pituus: 29,6°
Perihelin argumentti: 81,2°
Keskianomalia: 359,6°
Epookki: 2021 OCT 23 03:00:40
orbit plot

Ei-interaktiivinen kuvaaja | Interaktiivinen kuvaaja

position vs time
speed and acceleration