🇳🇴 🇬🇧 🇩🇪 🇨🇿 🇫🇮

Meteor über Glommen 2021-10-23 03:00:40 UTC

KML-Datei  |  Interaktive Karte

Die Karte zeigt die Peilungen für den Meteor. Die helleren Linien zeigen die Richtungen von den Beobachtungsorten beim Erscheinen des Meteors, und die dunkleren Linien, wo er zuletzt gesehen wurde. Der blaue Pfeil zeigt die sichtbare Bahn des Meteors.

static map
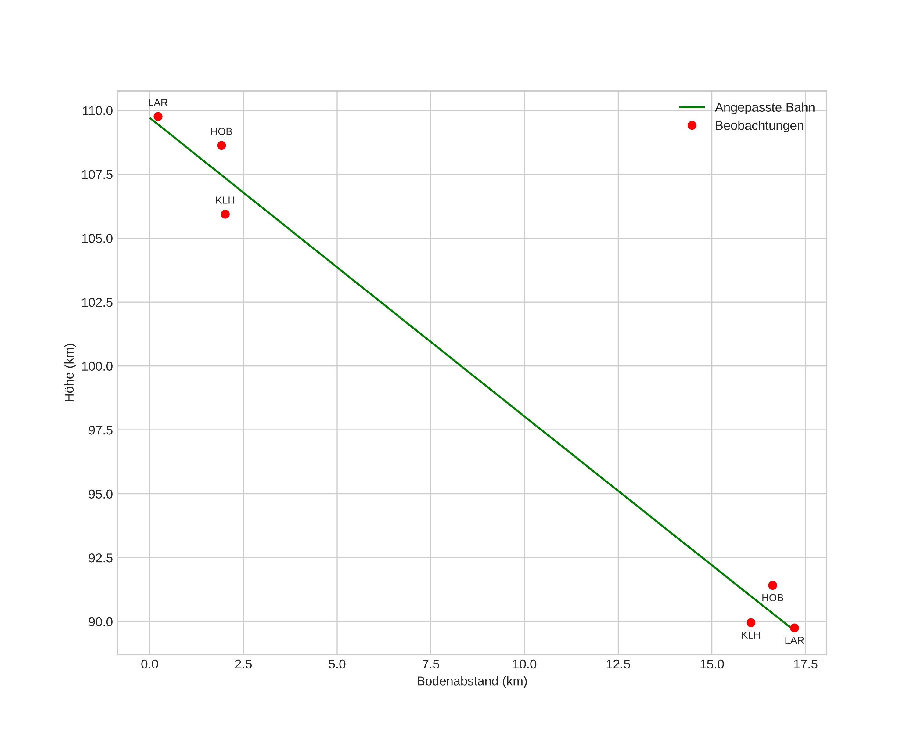
height profile
Atmosphärische Bahn des Meteors:
Anfangshöhe: 109,7 km
Endhöhe: 89,7 km
Startposition: 56,600N 11,976E
Endposition: 56,751N 11,917E
Richtung: 347,9°
Neigungswinkel: 49,4°
Eintrittsgeschwindigkeit: 67,7 km/s
Rektaszension des Radianten: 06:25 (96,5°)
Deklination des Radianten: 16,1°
Meteorstrom: Orioniden
Bahnelemente des Meteoroiden:
Periheldistanz: 0,580 AU
Exzentrizität: 0,973
Inklination: 164,9°
Länge des aufsteigenden Knotens: 29,6°
Argument des Perihels: 81,2°
Mittlere Anomalie: 359,6°
Epoche: 2021 OCT 23 03:00:40
orbit plot

Nicht-interaktives Diagramm | Interaktives Diagramm

position vs time
speed and acceleration