🇳🇴 🇬🇧 🇩🇪 🇨🇿 🇫🇮

Meteor, poloha: Olderdalen 2021-10-24 04:23:55 UTC

Soubor KML  |  InteraktivnĂ­ mapa

Mapa zobrazuje dráhy meteoru. Světlejší čáry ukazují směry od pozorovacích stanic při objevení se meteoru a tmavší čáry, kde byl naposledy viděn. Modrá šipka značí viditelnou dráhu meteoru.

static map
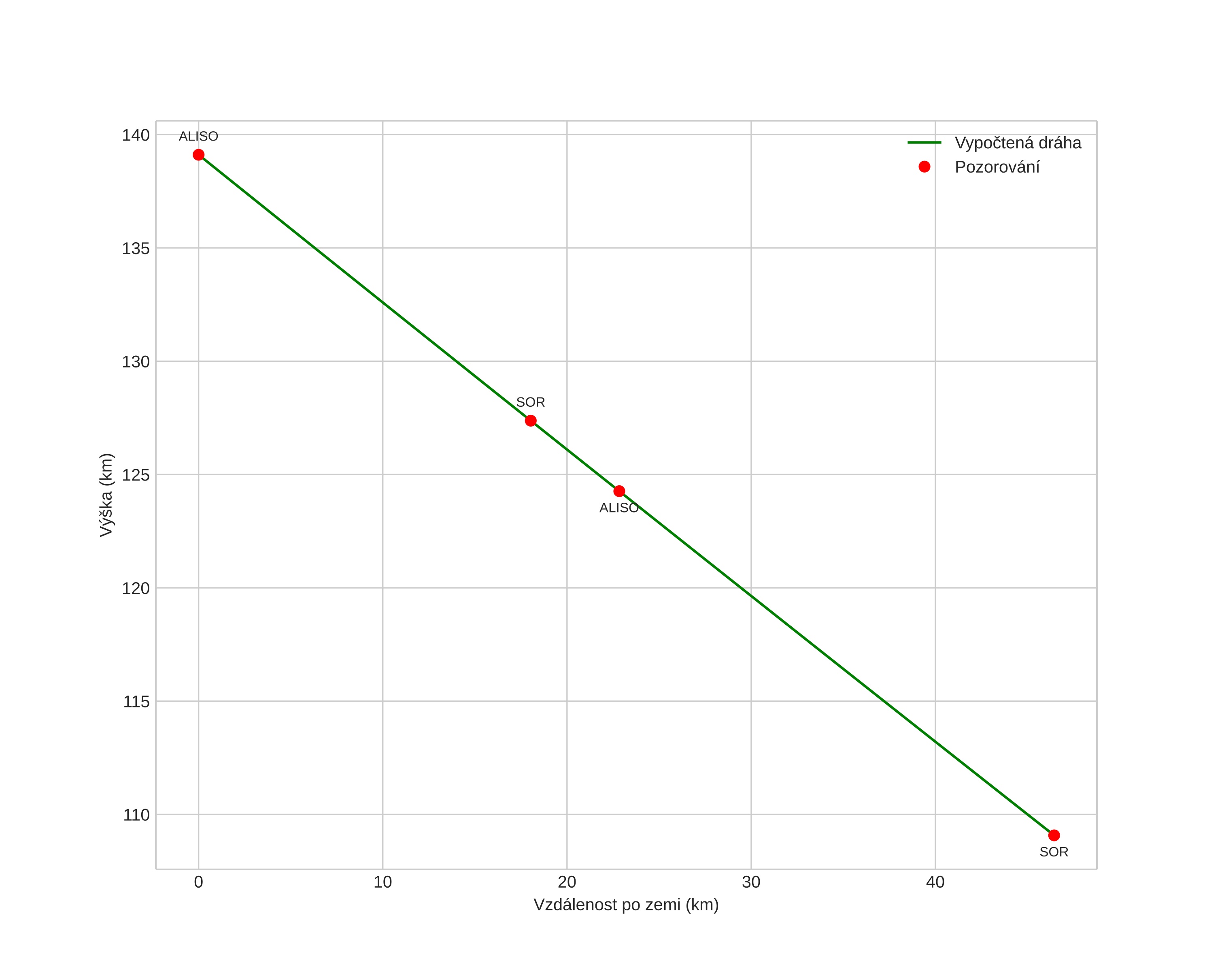
height profile
Atmosférická dráha meteoru:
Počáteční výška: 139,0 km
Konečná výška: 109,2 km
Počáteční poloha: 68,490N 20,495E
Konečná poloha: 68,857N 21,047E
Směr: 28,5°
Sklon: 32,7°
VstupnĂ­ rychlost: 76,4 km/s
Rektascenze radiantu: 06:17 (94,4°)
Deklinace radiantu: 13,0°
MeteorickĂ˝ roj: Orionidy
Elementy dráhy meteoroidu:
Vzdálenost v periheliu: 0,649 AU
Excentricita: 1,643
Sklon dráhy: 159,6°
Délka vzestupného uzlu: 30,7°
Argument perihelia: 63,8°
Střední anomálie: -27,5°
Epocha: 2021 OCT 24 04:23:55
orbit plot

NeinteraktivnĂ­ graf | InteraktivnĂ­ graf

position vs time
speed and acceleration