🇳🇴 🇬🇧 🇩🇪 🇨🇿 🇫🇮

Meteor Olderdalenin yllä 2021-10-24 04:23:55 UTC

KML-tiedosto  |  Interaktiivinen kartta

Kartta näyttää meteorin suuntahavainnot. Vaaleammat viivat näyttävät suunnat havaintoasemilta meteorin ilmestyessä, ja tummemmat viivat näyttävät, missä se viimeksi nähtiin. Sininen nuoli näyttää meteorin näkyvän lennon.

static map
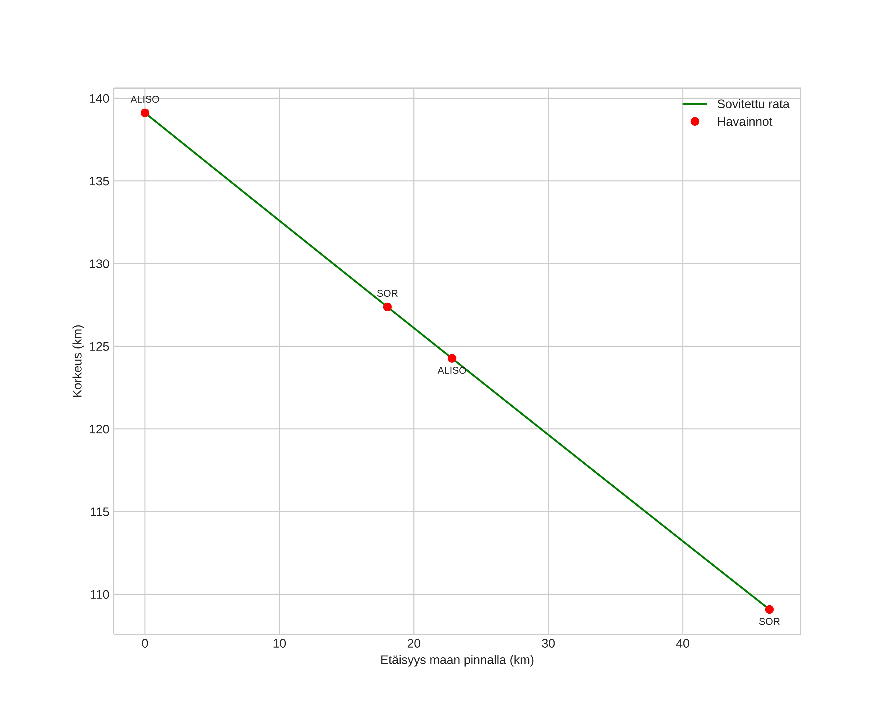
height profile
Meteorin ilmakehärata:
Alkukorkeus: 139,0 km
Loppukorkeus: 109,2 km
Alkupiste: 68,490N 20,495E
Loppupiste: 68,857N 21,047E
Suunta: 28,5°
Kallistuskulma: 32,7°
Tulonopeus: 76,4 km/s
Radiantin R,A,: 06:17 (94,4°)
Radiantin Dekl,: 13,0°
Meteoriparvi: Orionidit
Meteoroidin rataelementit:
Perihelietäisyys: 0,649 AU
Eksentrisyys: 1,643
Inklinaatio: 159,6°
Nousevan solmun pituus: 30,7°
Perihelin argumentti: 63,8°
Keskianomalia: -27,5°
Epookki: 2021 OCT 24 04:23:55
orbit plot

Ei-interaktiivinen kuvaaja | Interaktiivinen kuvaaja

position vs time
speed and acceleration