🇳🇴 🇬🇧 🇩🇪 🇨🇿 🇫🇮

Meteor über Olderdalen 2021-10-24 04:23:55 UTC

KML-Datei  |  Interaktive Karte

Die Karte zeigt die Peilungen für den Meteor. Die helleren Linien zeigen die Richtungen von den Beobachtungsorten beim Erscheinen des Meteors, und die dunkleren Linien, wo er zuletzt gesehen wurde. Der blaue Pfeil zeigt die sichtbare Bahn des Meteors.

static map
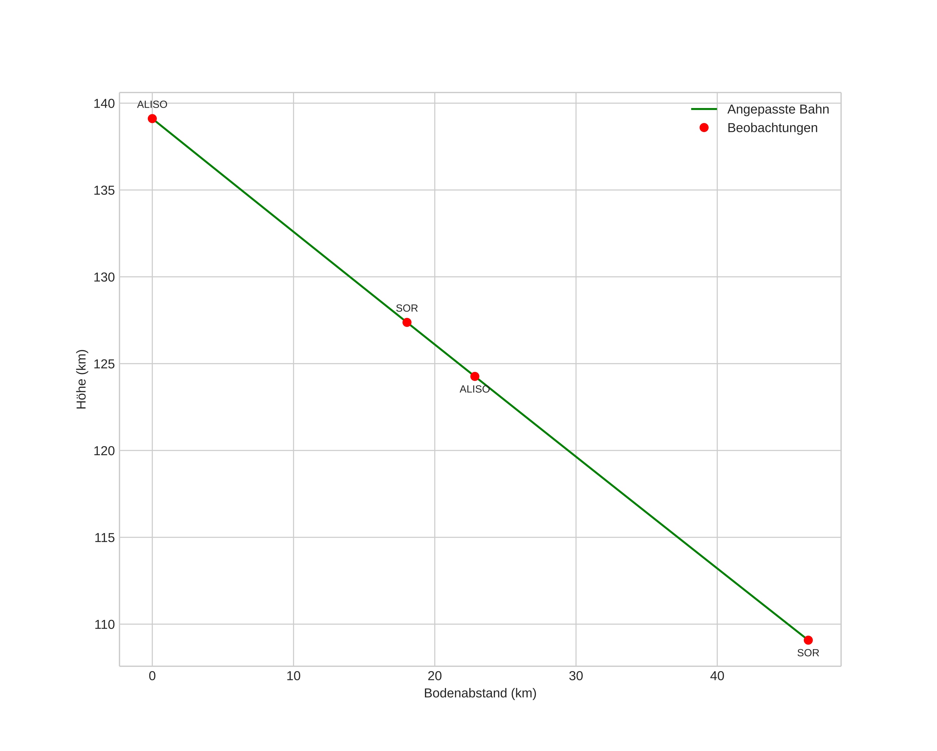
height profile
Atmosphärische Bahn des Meteors:
Anfangshöhe: 139,0 km
Endhöhe: 109,2 km
Startposition: 68,490N 20,495E
Endposition: 68,857N 21,047E
Richtung: 28,5°
Neigungswinkel: 32,7°
Eintrittsgeschwindigkeit: 76,4 km/s
Rektaszension des Radianten: 06:17 (94,4°)
Deklination des Radianten: 13,0°
Meteorstrom: Orioniden
Bahnelemente des Meteoroiden:
Periheldistanz: 0,649 AU
Exzentrizität: 1,643
Inklination: 159,6°
Länge des aufsteigenden Knotens: 30,7°
Argument des Perihels: 63,8°
Mittlere Anomalie: -27,5°
Epoche: 2021 OCT 24 04:23:55
orbit plot

Nicht-interaktives Diagramm | Interaktives Diagramm

position vs time
speed and acceleration