🇳🇴 🇬🇧 🇩🇪 🇨🇿 🇫🇮

Meteor, poloha: Lyngseidet 2021-10-31 17:52:25 UTC

Soubor KML  |  InteraktivnĂ­ mapa

Mapa zobrazuje dráhy meteoru. Světlejší čáry ukazují směry od pozorovacích stanic při objevení se meteoru a tmavší čáry, kde byl naposledy viděn. Modrá šipka značí viditelnou dráhu meteoru.

static map
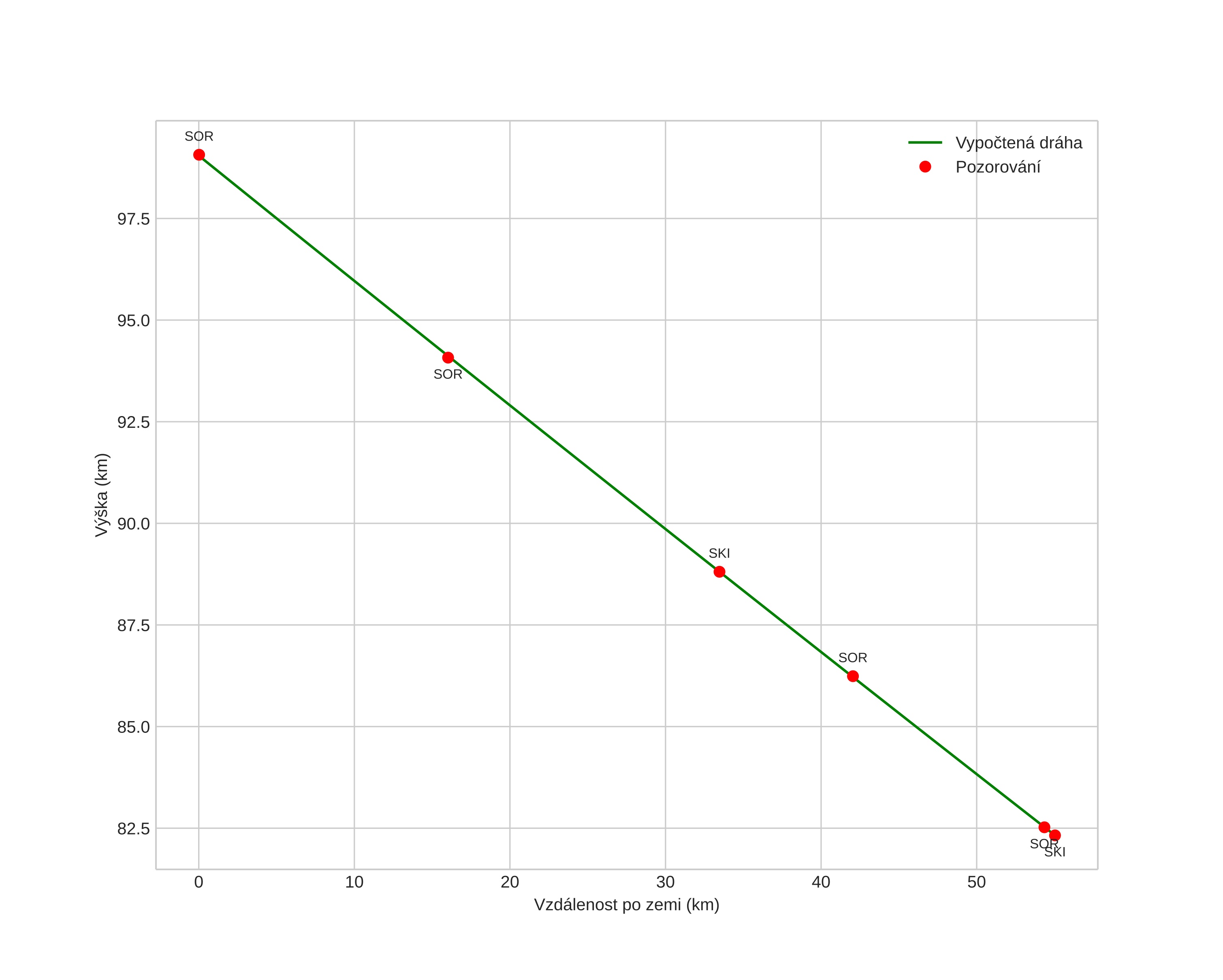
height profile
Atmosférická dráha meteoru:
Počáteční výška: 99,1 km
Konečná výška: 82,0 km
Počáteční poloha: 69,668N 21,512E
Konečná poloha: 69,680N 20,065E
Směr: 272,0°
Sklon: 17,0°
VstupnĂ­ rychlost: 34,1 km/s
Rektascenze radiantu: 03:29 (52,4°)
Deklinace radiantu: 13,0°
MeteorickĂ˝ roj: SevernĂ­ Tauridy
Elementy dráhy meteoroidu:
Vzdálenost v periheliu: 0,283 AU
Excentricita: 0,896
Sklon dráhy: 8,5°
Délka vzestupného uzlu: 38,2°
Argument perihelia: 120,9°
Střední anomálie: 351,3°
Epocha: 2021 OCT 31 17:52:25
orbit plot

NeinteraktivnĂ­ graf | InteraktivnĂ­ graf

position vs time
speed and acceleration