🇳🇴 🇬🇧 🇩🇪 🇨🇿 🇫🇮

Meteor über Lyngseidet 2021-10-31 17:52:25 UTC

KML-Datei  |  Interaktive Karte

Die Karte zeigt die Peilungen für den Meteor. Die helleren Linien zeigen die Richtungen von den Beobachtungsorten beim Erscheinen des Meteors, und die dunkleren Linien, wo er zuletzt gesehen wurde. Der blaue Pfeil zeigt die sichtbare Bahn des Meteors.

static map
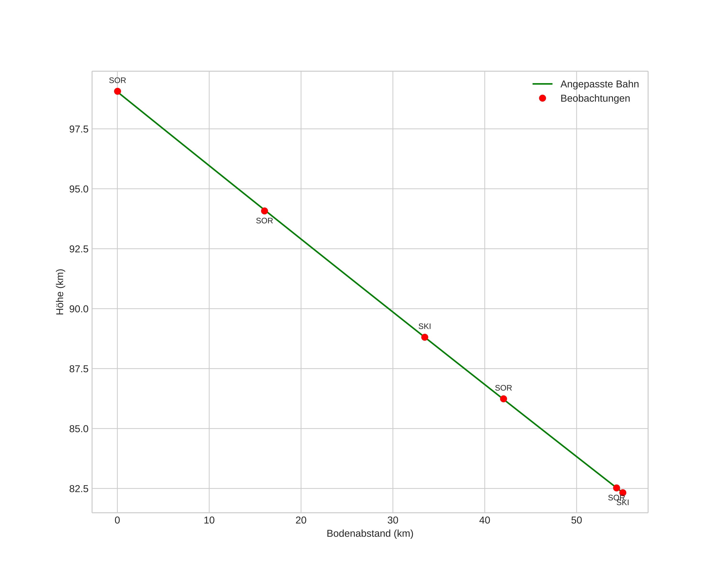
height profile
Atmosphärische Bahn des Meteors:
Anfangshöhe: 99,1 km
Endhöhe: 82,0 km
Startposition: 69,668N 21,512E
Endposition: 69,680N 20,065E
Richtung: 272,0°
Neigungswinkel: 17,0°
Eintrittsgeschwindigkeit: 34,1 km/s
Rektaszension des Radianten: 03:29 (52,4°)
Deklination des Radianten: 13,0°
Meteorstrom: Nördliche Tauriden
Bahnelemente des Meteoroiden:
Periheldistanz: 0,283 AU
Exzentrizität: 0,896
Inklination: 8,5°
Länge des aufsteigenden Knotens: 38,2°
Argument des Perihels: 120,9°
Mittlere Anomalie: 351,3°
Epoche: 2021 OCT 31 17:52:25
orbit plot

Nicht-interaktives Diagramm | Interaktives Diagramm

position vs time
speed and acceleration