🇳🇴 🇬🇧 🇩🇪 🇨🇿 🇫🇮

Meteor Lyngseidetin yllä 2021-10-31 17:52:25 UTC

KML-tiedosto  |  Interaktiivinen kartta

Kartta näyttää meteorin suuntahavainnot. Vaaleammat viivat näyttävät suunnat havaintoasemilta meteorin ilmestyessä, ja tummemmat viivat näyttävät, missä se viimeksi nähtiin. Sininen nuoli näyttää meteorin näkyvän lennon.

static map
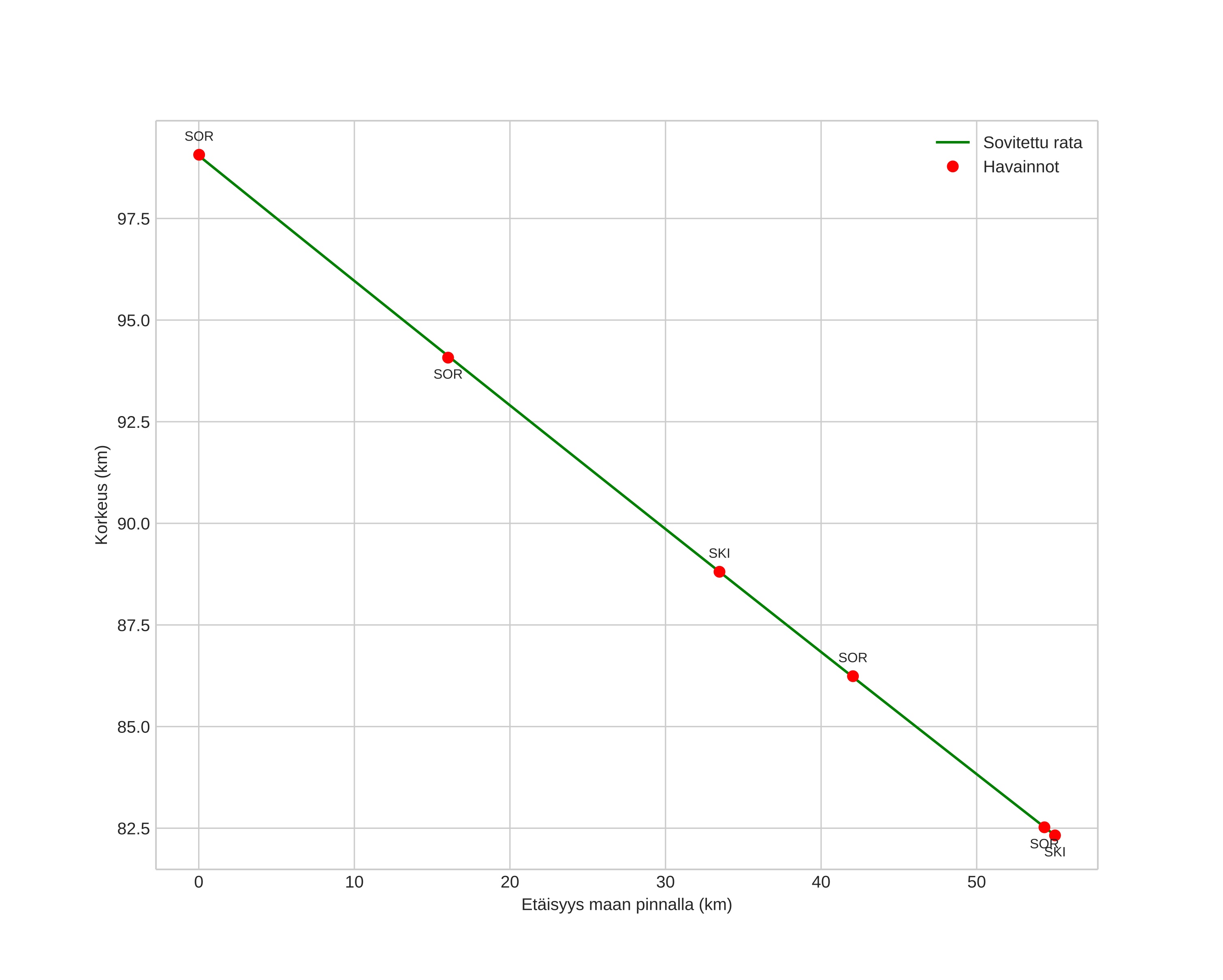
height profile
Meteorin ilmakehärata:
Alkukorkeus: 99,1 km
Loppukorkeus: 82,0 km
Alkupiste: 69,668N 21,512E
Loppupiste: 69,680N 20,065E
Suunta: 272,0°
Kallistuskulma: 17,0°
Tulonopeus: 34,1 km/s
Radiantin R,A,: 03:29 (52,4°)
Radiantin Dekl,: 13,0°
Meteoriparvi: Pohjoiset tauridit
Meteoroidin rataelementit:
Perihelietäisyys: 0,283 AU
Eksentrisyys: 0,896
Inklinaatio: 8,5°
Nousevan solmun pituus: 38,2°
Perihelin argumentti: 120,9°
Keskianomalia: 351,3°
Epookki: 2021 OCT 31 17:52:25
orbit plot

Ei-interaktiivinen kuvaaja | Interaktiivinen kuvaaja

position vs time
speed and acceleration