🇳🇴 🇬🇧 🇩🇪 🇨🇿 🇫🇮

Meteor, poloha: Neskollen 2021-11-10 17:03:13 UTC

Soubor KML

Mapa zobrazuje dráhy meteoru. Světlejší čáry ukazují směry od pozorovacích stanic při objevení se meteoru a tmavší čáry, kde byl naposledy viděn. Modrá šipka značí viditelnou dráhu meteoru.

static map
height profile
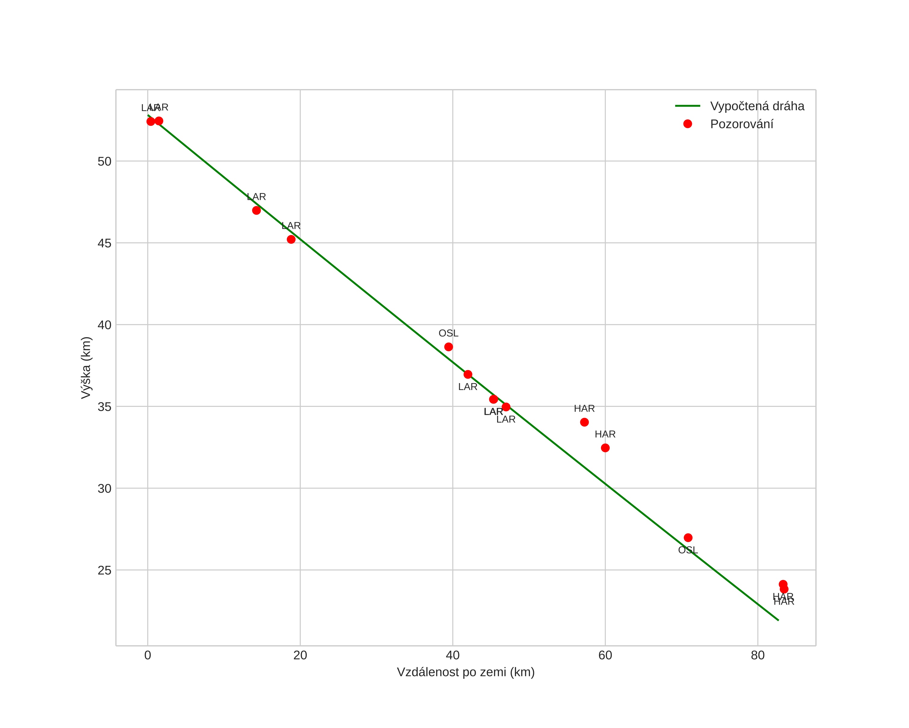
Atmosférická dráha meteoru:
Počáteční výška: 52,8 km
Konečná výška: 21,9 km
Počáteční poloha: 59,466N 11,315E
Konečná poloha: 60,210N 11,287E
Směr: 358,9°
Sklon: 20,5°
VstupnĂ­ rychlost: 6,9 km/s
orbit plot
position vs time
speed and acceleration