🇳🇴 🇬🇧 🇩🇪 🇨🇿 🇫🇮

Meteor Årøysundin yllä 2021-11-10 17:03:13 UTC

KML-tiedosto  |  Interaktiivinen kartta

Kartta näyttää meteorin suuntahavainnot. Vaaleammat viivat näyttävät suunnat havaintoasemilta meteorin ilmestyessä, ja tummemmat viivat näyttävät, missä se viimeksi nähtiin. Sininen nuoli näyttää meteorin näkyvän lennon.

static map
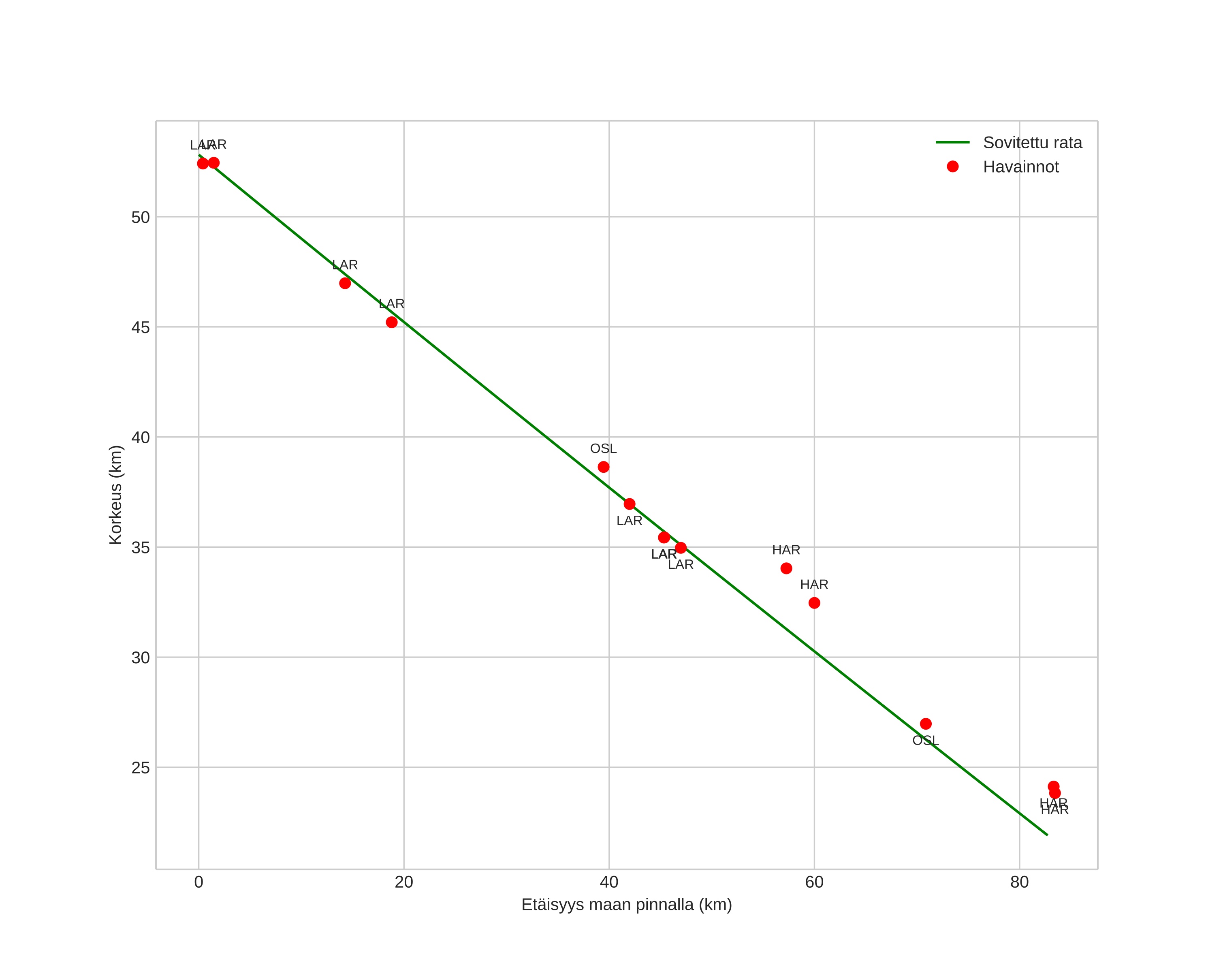
height profile
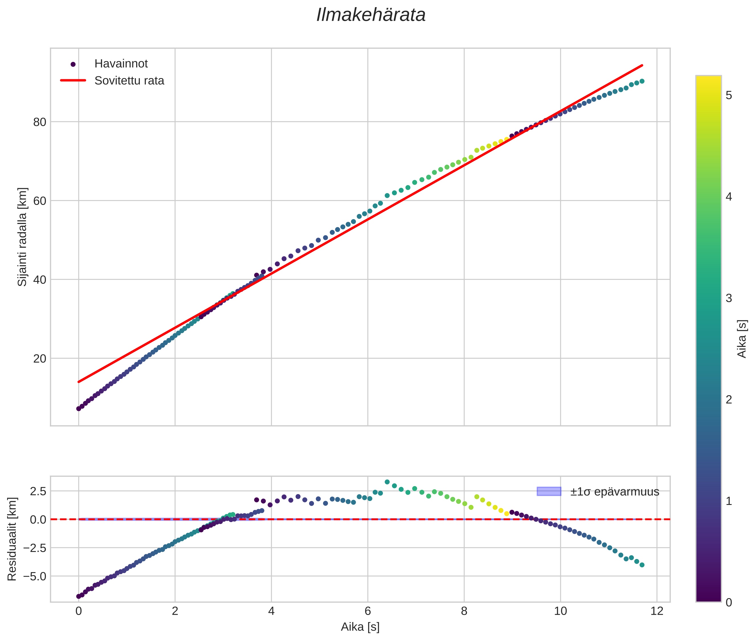
Meteorin ilmakehärata:
Alkukorkeus: 42,3 km
Loppukorkeus: 22,0 km
Alkupiste: 60,214N 11,703E
Loppupiste: 59,243N 10,523E
Suunta: 212,0°
Kallistuskulma: 9,1°
orbit plot
position vs time
speed and acceleration