🇳🇴 🇬🇧 🇩🇪 🇨🇿 🇫🇮

Meteor über Neskollen 2021-11-10 17:03:13 UTC

KML-Datei

Die Karte zeigt die Peilungen für den Meteor. Die helleren Linien zeigen die Richtungen von den Beobachtungsorten beim Erscheinen des Meteors, und die dunkleren Linien, wo er zuletzt gesehen wurde. Der blaue Pfeil zeigt die sichtbare Bahn des Meteors.

static map
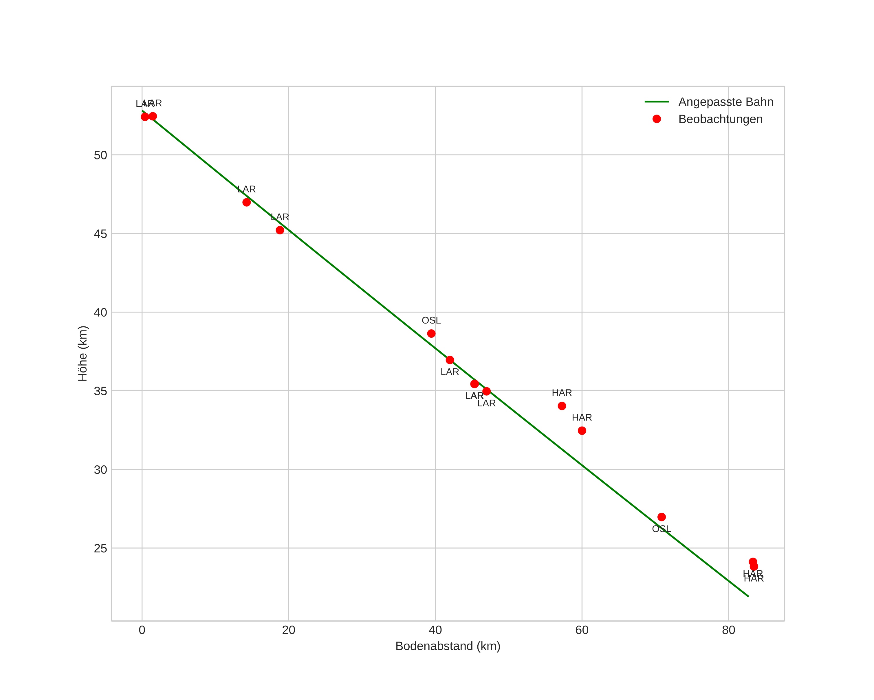
height profile
Atmosphärische Bahn des Meteors:
Anfangshöhe: 52,8 km
Endhöhe: 21,9 km
Startposition: 59,466N 11,315E
Endposition: 60,210N 11,287E
Richtung: 358,9°
Neigungswinkel: 20,5°
Eintrittsgeschwindigkeit: 6,9 km/s
orbit plot
position vs time
speed and acceleration