🇳🇴 🇬🇧 🇩🇪 🇨🇿 🇫🇮

Meteor, poloha: Ă…mĂĄl 2021-11-11 21:08:23 UTC

Soubor KML  |  InteraktivnĂ­ mapa

Mapa zobrazuje dráhy meteoru. Světlejší čáry ukazují směry od pozorovacích stanic při objevení se meteoru a tmavší čáry, kde byl naposledy viděn. Modrá šipka značí viditelnou dráhu meteoru.

static map
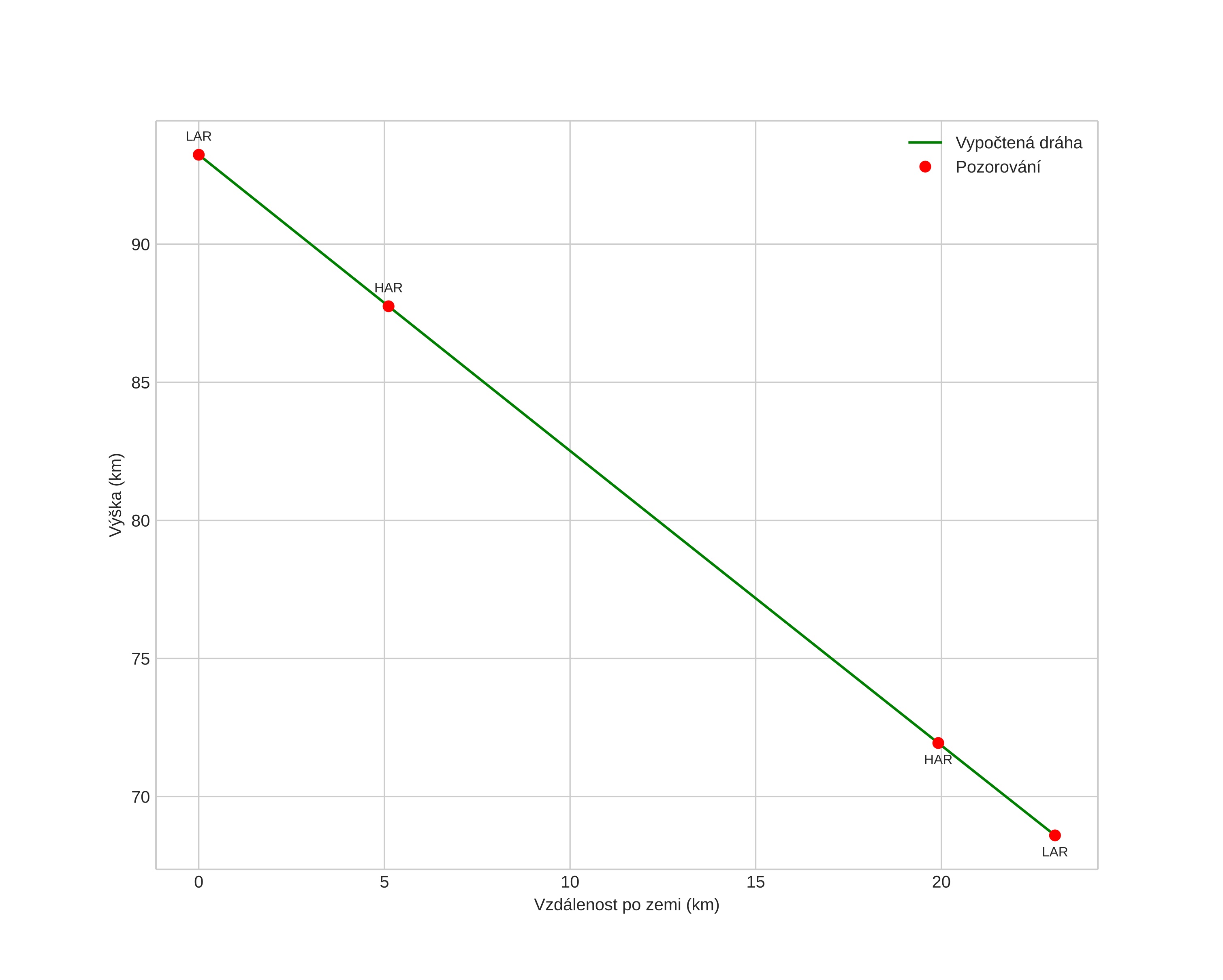
height profile
Atmosférická dráha meteoru:
Počáteční výška: 94,2 km
Konečná výška: 68,9 km
Počáteční poloha: 58,920N 13,030E
Konečná poloha: 59,042N 12,690E
Směr: 305,0°
Sklon: 46,8°
VstupnĂ­ rychlost: 32,7 km/s
Rektascenze radiantu: 03:57 (59,5°)
Deklinace radiantu: 23,7°
MeteorickĂ˝ roj: SevernĂ­ Tauridy
Elementy dráhy meteoroidu:
Vzdálenost v periheliu: 0,321 AU
Excentricita: 0,879
Sklon dráhy: 4,1°
Délka vzestupného uzlu: 229,4°
Argument perihelia: 296,4°
Střední anomálie: 350,8°
Epocha: 2021 NOV 11 21:08:23
orbit plot

NeinteraktivnĂ­ graf | InteraktivnĂ­ graf

position vs time
speed and acceleration