🇳🇴 🇬🇧 🇩🇪 🇨🇿 🇫🇮

Meteor über Åmål 2021-11-11 21:08:23 UTC

KML-Datei  |  Interaktive Karte

Die Karte zeigt die Peilungen für den Meteor. Die helleren Linien zeigen die Richtungen von den Beobachtungsorten beim Erscheinen des Meteors, und die dunkleren Linien, wo er zuletzt gesehen wurde. Der blaue Pfeil zeigt die sichtbare Bahn des Meteors.

static map
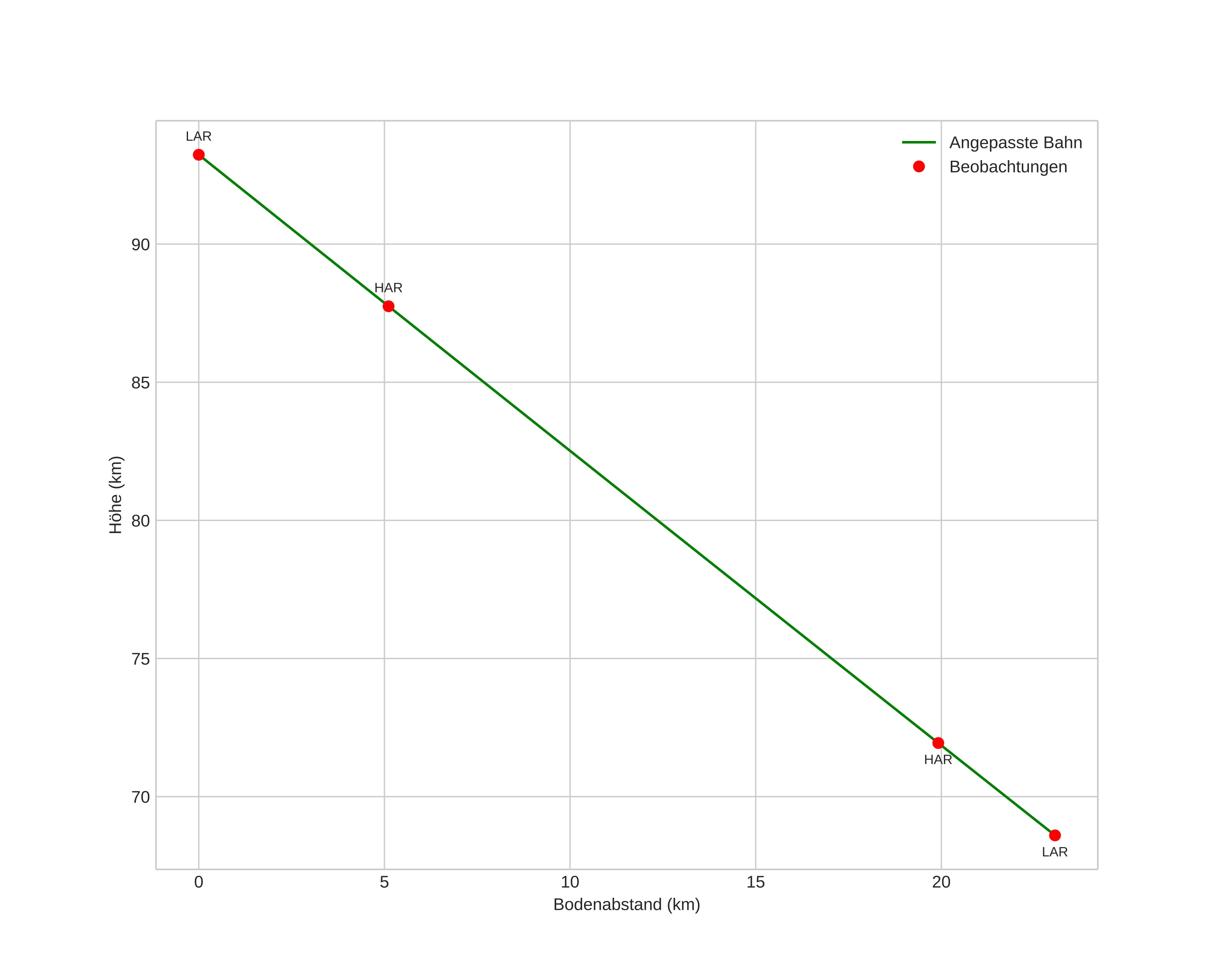
height profile
Atmosphärische Bahn des Meteors:
Anfangshöhe: 94,2 km
Endhöhe: 68,9 km
Startposition: 58,920N 13,030E
Endposition: 59,042N 12,690E
Richtung: 305,0°
Neigungswinkel: 46,8°
Eintrittsgeschwindigkeit: 32,7 km/s
Rektaszension des Radianten: 03:57 (59,5°)
Deklination des Radianten: 23,7°
Meteorstrom: Nördliche Tauriden
Bahnelemente des Meteoroiden:
Periheldistanz: 0,321 AU
Exzentrizität: 0,879
Inklination: 4,1°
Länge des aufsteigenden Knotens: 229,4°
Argument des Perihels: 296,4°
Mittlere Anomalie: 350,8°
Epoche: 2021 NOV 11 21:08:23
orbit plot

Nicht-interaktives Diagramm | Interaktives Diagramm

position vs time
speed and acceleration