🇳🇴 🇬🇧 🇩🇪 🇨🇿 🇫🇮

Meteor Åmålin yllä 2021-11-11 21:08:23 UTC

KML-tiedosto  |  Interaktiivinen kartta

Kartta näyttää meteorin suuntahavainnot. Vaaleammat viivat näyttävät suunnat havaintoasemilta meteorin ilmestyessä, ja tummemmat viivat näyttävät, missä se viimeksi nähtiin. Sininen nuoli näyttää meteorin näkyvän lennon.

static map
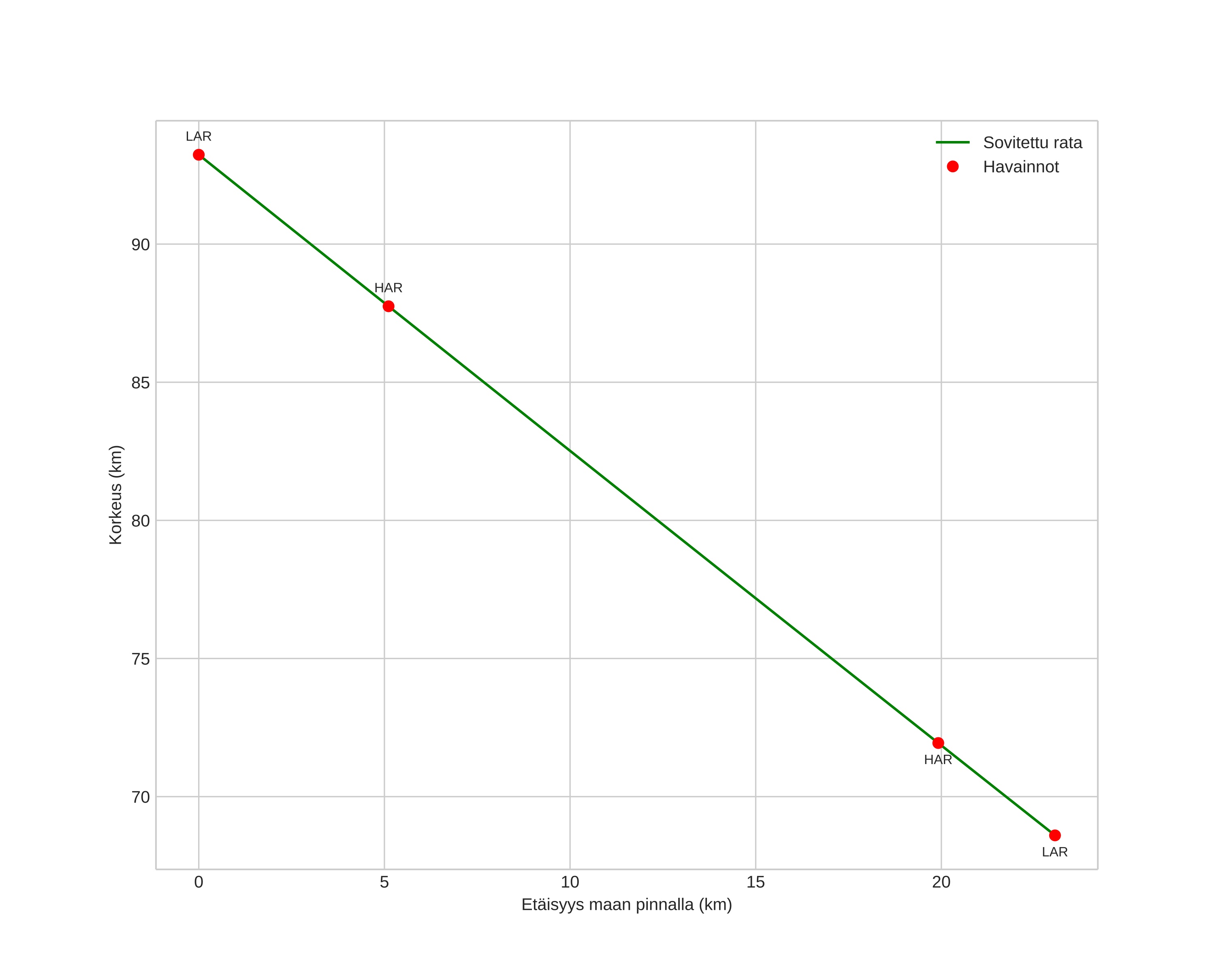
height profile
Meteorin ilmakehärata:
Alkukorkeus: 94,2 km
Loppukorkeus: 68,9 km
Alkupiste: 58,920N 13,030E
Loppupiste: 59,042N 12,690E
Suunta: 305,0°
Kallistuskulma: 46,8°
Tulonopeus: 32,7 km/s
Radiantin R,A,: 03:57 (59,5°)
Radiantin Dekl,: 23,7°
Meteoriparvi: Pohjoiset tauridit
Meteoroidin rataelementit:
Perihelietäisyys: 0,321 AU
Eksentrisyys: 0,879
Inklinaatio: 4,1°
Nousevan solmun pituus: 229,4°
Perihelin argumentti: 296,4°
Keskianomalia: 350,8°
Epookki: 2021 NOV 11 21:08:23
orbit plot

Ei-interaktiivinen kuvaaja | Interaktiivinen kuvaaja

position vs time
speed and acceleration