🇳🇴 🇬🇧 🇩🇪 🇨🇿 🇫🇮

Meteor, poloha: Kumlinge 2021-11-11 22:24:06 UTC

Soubor KML  |  InteraktivnĂ­ mapa

Mapa zobrazuje dráhy meteoru. Světlejší čáry ukazují směry od pozorovacích stanic při objevení se meteoru a tmavší čáry, kde byl naposledy viděn. Modrá šipka značí viditelnou dráhu meteoru.

static map
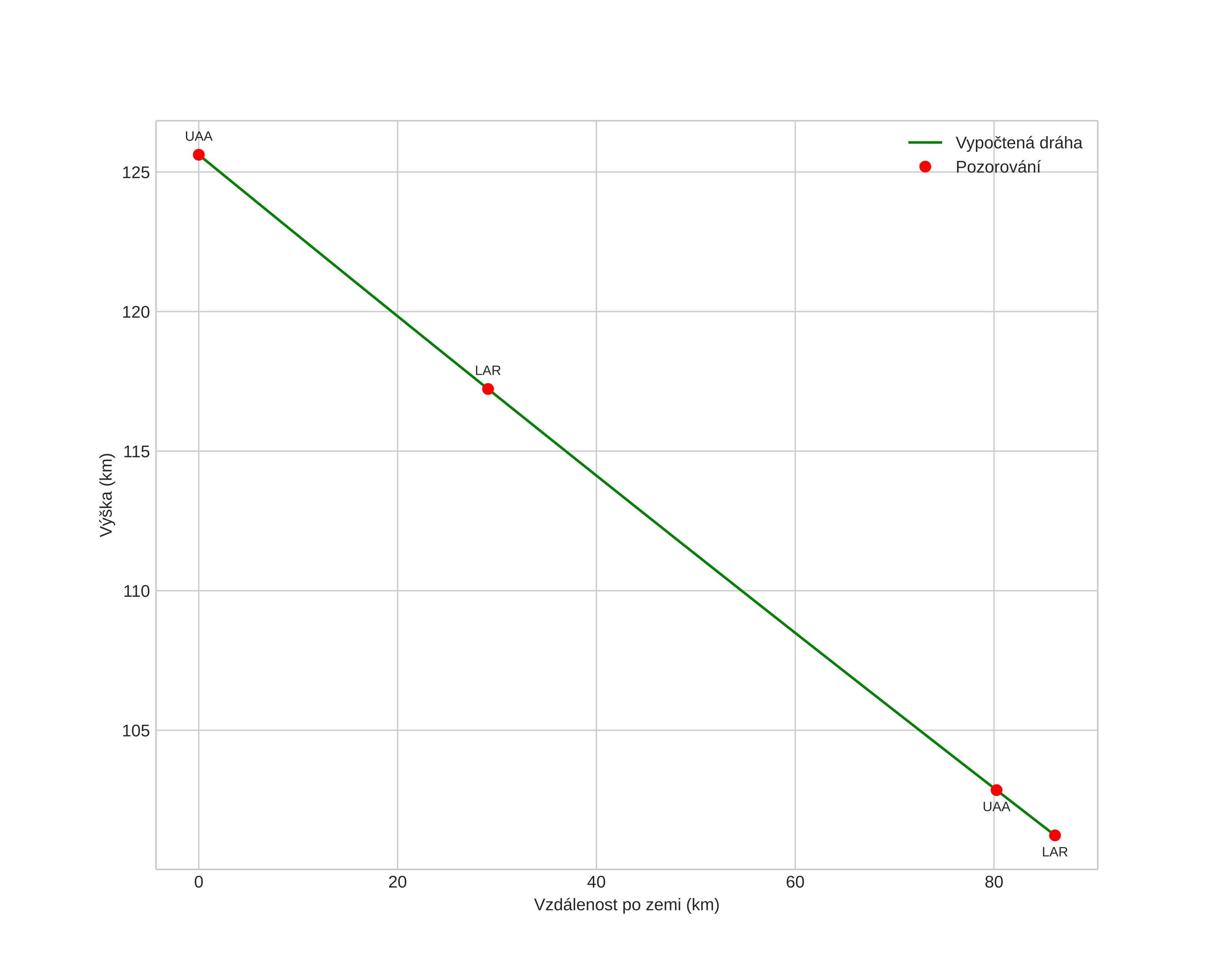
height profile
Atmosférická dráha meteoru:
Počáteční výška: 124,9 km
Konečná výška: 102,2 km
Počáteční poloha: 60,468N 22,154E
Konečná poloha: 60,202N 20,756E
Směr: 249,6°
Sklon: 15,4°
VstupnĂ­ rychlost: 73,7 km/s
Rektascenze radiantu: 09:58 (149,5°)
Deklinace radiantu: 23,1°
MeteorickĂ˝ roj: Leonidy
Elementy dráhy meteoroidu:
Vzdálenost v periheliu: 0,979 AU
Excentricita: 1,107
Sklon dráhy: 163,0°
Délka vzestupného uzlu: 229,5°
Argument perihelia: 168,0°
Střední anomálie: 0,3°
Epocha: 2021 NOV 11 22:24:06
orbit plot

NeinteraktivnĂ­ graf | InteraktivnĂ­ graf

position vs time
speed and acceleration