🇳🇴 🇬🇧 🇩🇪 🇨🇿 🇫🇮

Meteor Kumlingen yllä 2021-11-11 22:24:06 UTC

KML-tiedosto  |  Interaktiivinen kartta

Kartta näyttää meteorin suuntahavainnot. Vaaleammat viivat näyttävät suunnat havaintoasemilta meteorin ilmestyessä, ja tummemmat viivat näyttävät, missä se viimeksi nähtiin. Sininen nuoli näyttää meteorin näkyvän lennon.

static map
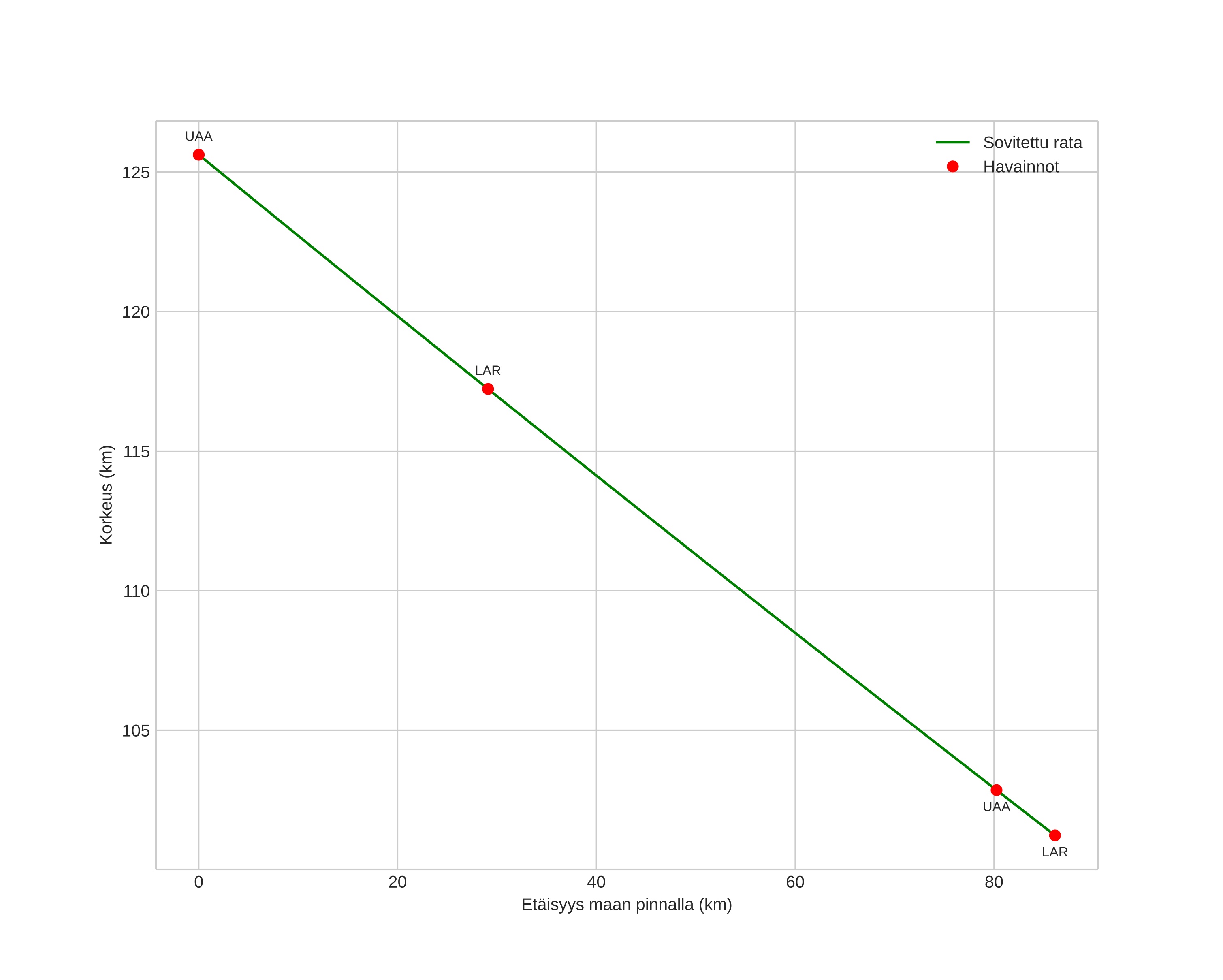
height profile
Meteorin ilmakehärata:
Alkukorkeus: 124,9 km
Loppukorkeus: 102,2 km
Alkupiste: 60,468N 22,154E
Loppupiste: 60,202N 20,756E
Suunta: 249,6°
Kallistuskulma: 15,4°
Tulonopeus: 73,7 km/s
Radiantin R,A,: 09:58 (149,5°)
Radiantin Dekl,: 23,1°
Meteoriparvi: Leonidit
Meteoroidin rataelementit:
Perihelietäisyys: 0,979 AU
Eksentrisyys: 1,107
Inklinaatio: 163,0°
Nousevan solmun pituus: 229,5°
Perihelin argumentti: 168,0°
Keskianomalia: 0,3°
Epookki: 2021 NOV 11 22:24:06
orbit plot

Ei-interaktiivinen kuvaaja | Interaktiivinen kuvaaja

position vs time
speed and acceleration