🇳🇴 🇬🇧 🇩🇪 🇨🇿 🇫🇮

Meteor über Kumlinge 2021-11-11 22:24:06 UTC

KML-Datei  |  Interaktive Karte

Die Karte zeigt die Peilungen für den Meteor. Die helleren Linien zeigen die Richtungen von den Beobachtungsorten beim Erscheinen des Meteors, und die dunkleren Linien, wo er zuletzt gesehen wurde. Der blaue Pfeil zeigt die sichtbare Bahn des Meteors.

static map
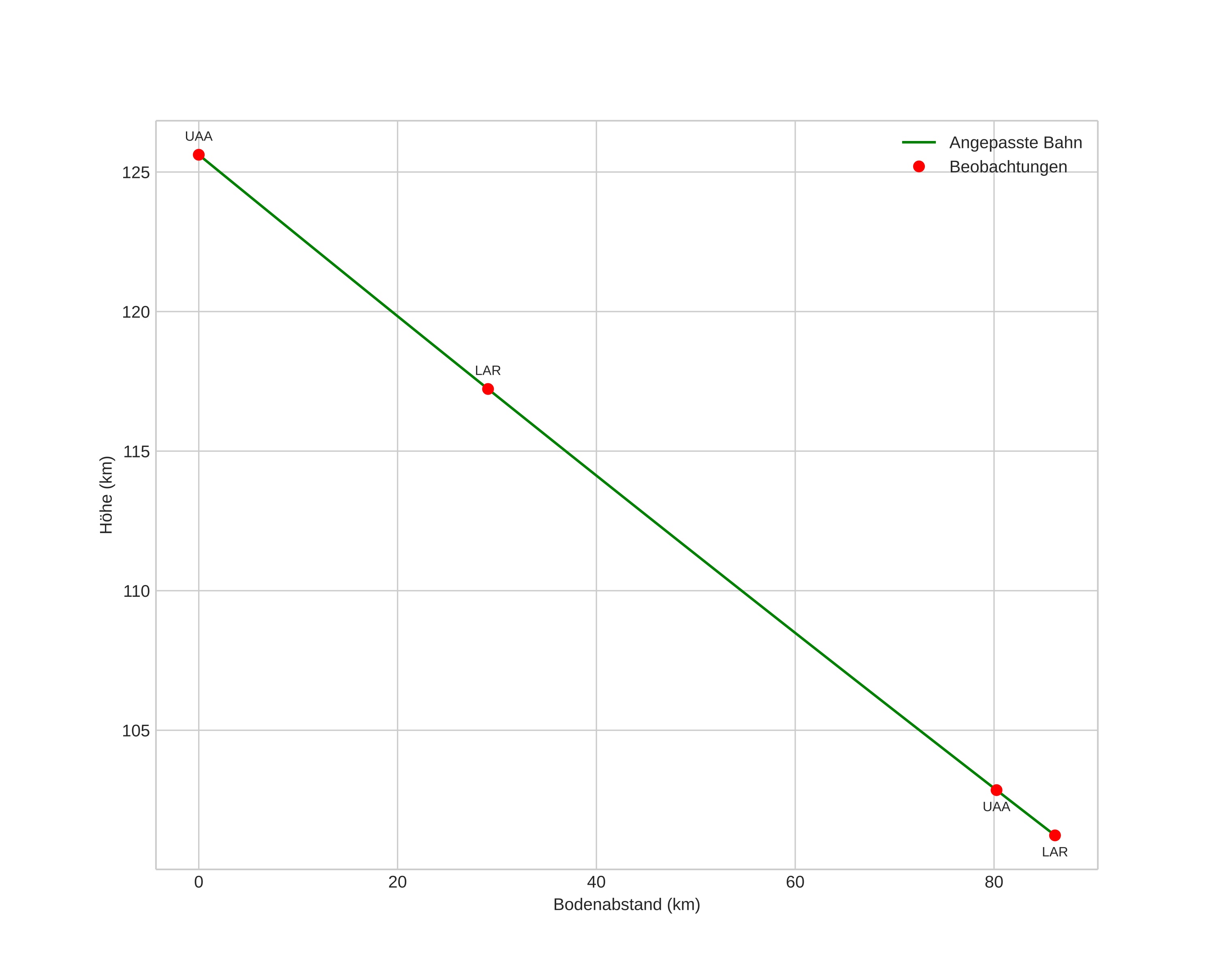
height profile
Atmosphärische Bahn des Meteors:
Anfangshöhe: 124,9 km
Endhöhe: 102,2 km
Startposition: 60,468N 22,154E
Endposition: 60,202N 20,756E
Richtung: 249,6°
Neigungswinkel: 15,4°
Eintrittsgeschwindigkeit: 73,7 km/s
Rektaszension des Radianten: 09:58 (149,5°)
Deklination des Radianten: 23,1°
Meteorstrom: Leoniden
Bahnelemente des Meteoroiden:
Periheldistanz: 0,979 AU
Exzentrizität: 1,107
Inklination: 163,0°
Länge des aufsteigenden Knotens: 229,5°
Argument des Perihels: 168,0°
Mittlere Anomalie: 0,3°
Epoche: 2021 NOV 11 22:24:06
orbit plot

Nicht-interaktives Diagramm | Interaktives Diagramm

position vs time
speed and acceleration