🇳🇴 🇬🇧 🇩🇪 🇨🇿 🇫🇮

Meteor, poloha: Degerfors 2021-11-11 23:27:31 UTC

Soubor KML  |  InteraktivnĂ­ mapa

Mapa zobrazuje dráhy meteoru. Světlejší čáry ukazují směry od pozorovacích stanic při objevení se meteoru a tmavší čáry, kde byl naposledy viděn. Modrá šipka značí viditelnou dráhu meteoru.

static map
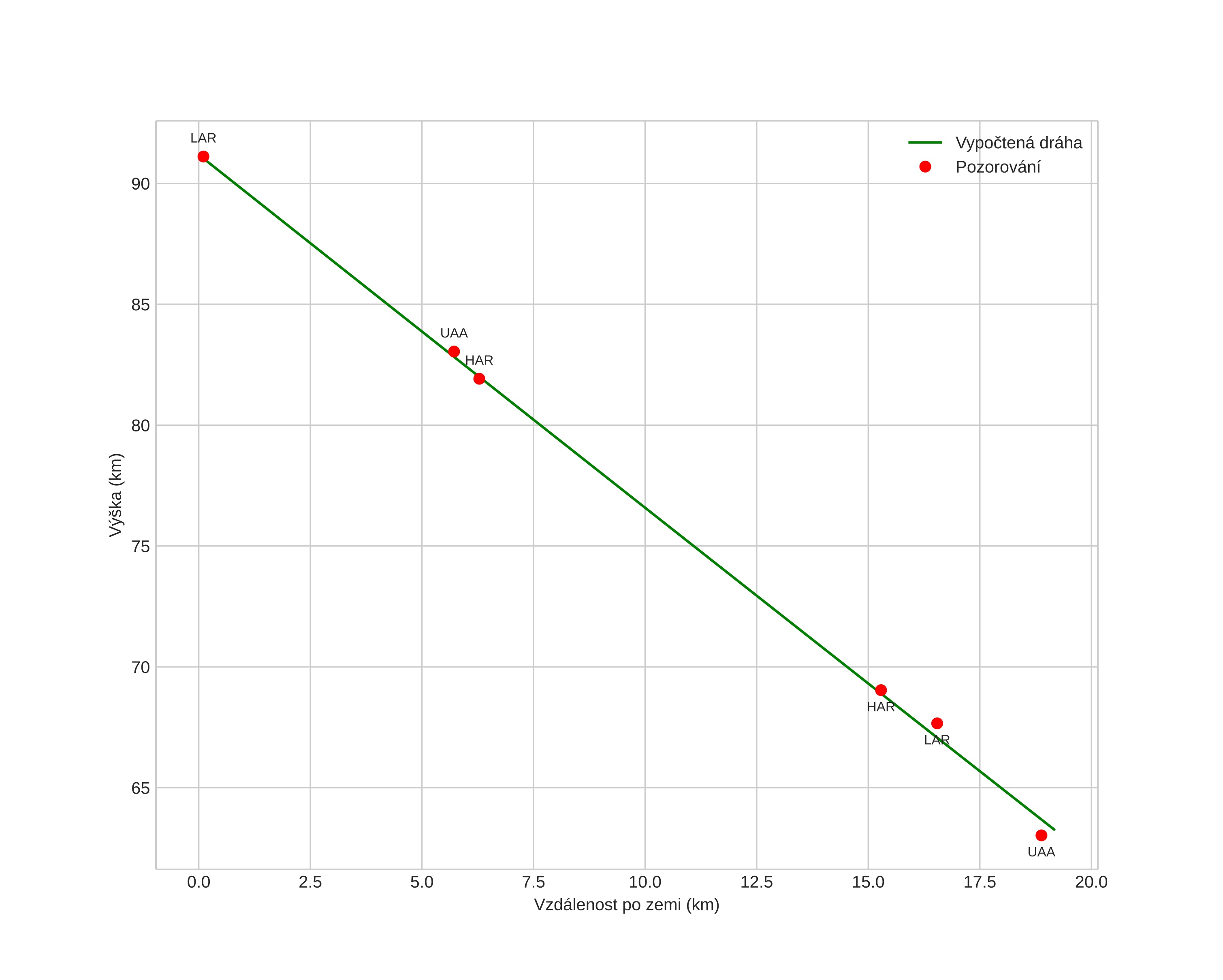
height profile
Atmosférická dráha meteoru:
Počáteční výška: 84,9 km
Konečná výška: 64,1 km
Počáteční poloha: 59,086N 14,396E
Konečná poloha: 59,214N 14,366E
Směr: 353,3°
Sklon: 55,6°
VstupnĂ­ rychlost: 31,5 km/s
Rektascenze radiantu: 04:03 (60,9°)
Deklinace radiantu: 23,5°
MeteorickĂ˝ roj: SevernĂ­ Tauridy
Elementy dráhy meteoroidu:
Vzdálenost v periheliu: 0,316 AU
Excentricita: 0,849
Sklon dráhy: 3,5°
Délka vzestupného uzlu: 229,5°
Argument perihelia: 298,9°
Střední anomálie: 346,5°
Epocha: 2021 NOV 11 23:27:31
orbit plot

NeinteraktivnĂ­ graf | InteraktivnĂ­ graf

position vs time
speed and acceleration