🇳🇴 🇬🇧 🇩🇪 🇨🇿 🇫🇮

Meteor über Degerfors 2021-11-11 23:27:31 UTC

KML-Datei  |  Interaktive Karte

Die Karte zeigt die Peilungen für den Meteor. Die helleren Linien zeigen die Richtungen von den Beobachtungsorten beim Erscheinen des Meteors, und die dunkleren Linien, wo er zuletzt gesehen wurde. Der blaue Pfeil zeigt die sichtbare Bahn des Meteors.

static map
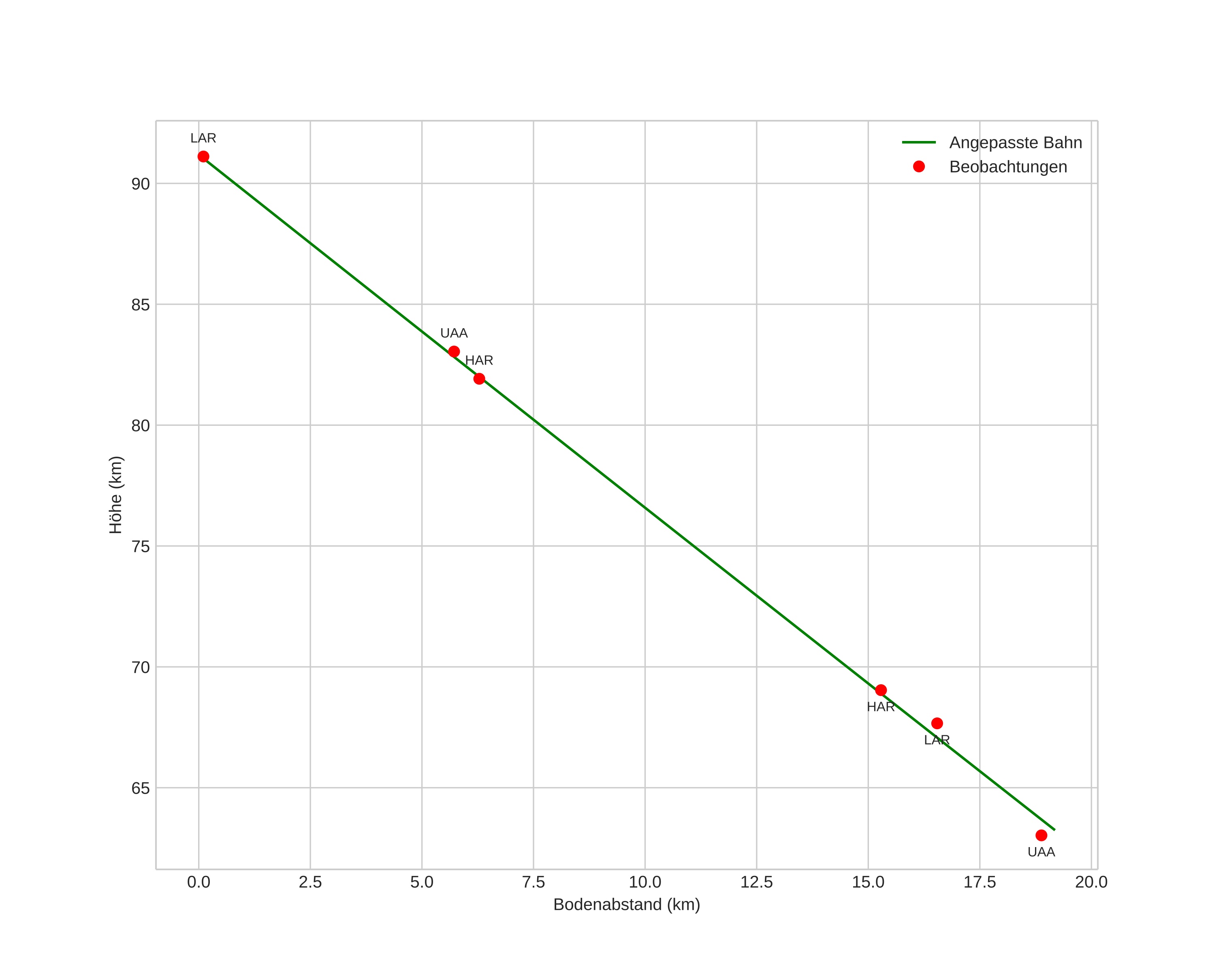
height profile
Atmosphärische Bahn des Meteors:
Anfangshöhe: 84,9 km
Endhöhe: 64,1 km
Startposition: 59,086N 14,396E
Endposition: 59,214N 14,366E
Richtung: 353,3°
Neigungswinkel: 55,6°
Eintrittsgeschwindigkeit: 31,5 km/s
Rektaszension des Radianten: 04:03 (60,9°)
Deklination des Radianten: 23,5°
Meteorstrom: Nördliche Tauriden
Bahnelemente des Meteoroiden:
Periheldistanz: 0,316 AU
Exzentrizität: 0,849
Inklination: 3,5°
Länge des aufsteigenden Knotens: 229,5°
Argument des Perihels: 298,9°
Mittlere Anomalie: 346,5°
Epoche: 2021 NOV 11 23:27:31
orbit plot

Nicht-interaktives Diagramm | Interaktives Diagramm

position vs time
speed and acceleration