🇳🇴 🇬🇧 🇩🇪 🇨🇿 🇫🇮

Meteor Degerforsin yllä 2021-11-11 23:27:31 UTC

KML-tiedosto  |  Interaktiivinen kartta

Kartta näyttää meteorin suuntahavainnot. Vaaleammat viivat näyttävät suunnat havaintoasemilta meteorin ilmestyessä, ja tummemmat viivat näyttävät, missä se viimeksi nähtiin. Sininen nuoli näyttää meteorin näkyvän lennon.

static map
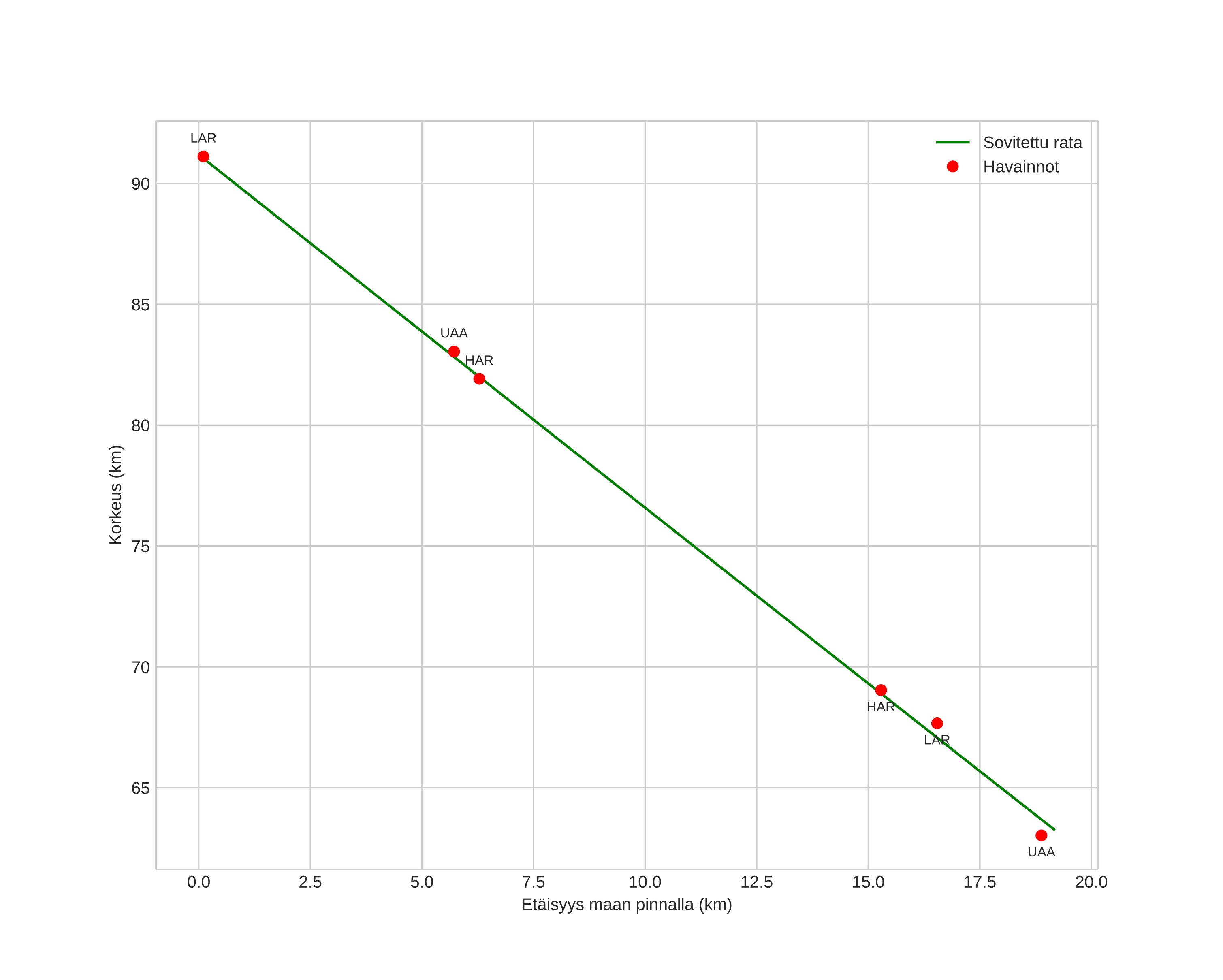
height profile
Meteorin ilmakehärata:
Alkukorkeus: 84,9 km
Loppukorkeus: 64,1 km
Alkupiste: 59,086N 14,396E
Loppupiste: 59,214N 14,366E
Suunta: 353,3°
Kallistuskulma: 55,6°
Tulonopeus: 31,5 km/s
Radiantin R,A,: 04:03 (60,9°)
Radiantin Dekl,: 23,5°
Meteoriparvi: Pohjoiset tauridit
Meteoroidin rataelementit:
Perihelietäisyys: 0,316 AU
Eksentrisyys: 0,849
Inklinaatio: 3,5°
Nousevan solmun pituus: 229,5°
Perihelin argumentti: 298,9°
Keskianomalia: 346,5°
Epookki: 2021 NOV 11 23:27:31
orbit plot

Ei-interaktiivinen kuvaaja | Interaktiivinen kuvaaja

position vs time
speed and acceleration