🇳🇴 🇬🇧 🇩🇪 🇨🇿 🇫🇮

Meteor, poloha: Myggenäs 2021-11-12 04:43:12 UTC

Soubor KML  |  InteraktivnĂ­ mapa

Mapa zobrazuje dráhy meteoru. Světlejší čáry ukazují směry od pozorovacích stanic při objevení se meteoru a tmavší čáry, kde byl naposledy viděn. Modrá šipka značí viditelnou dráhu meteoru.

static map
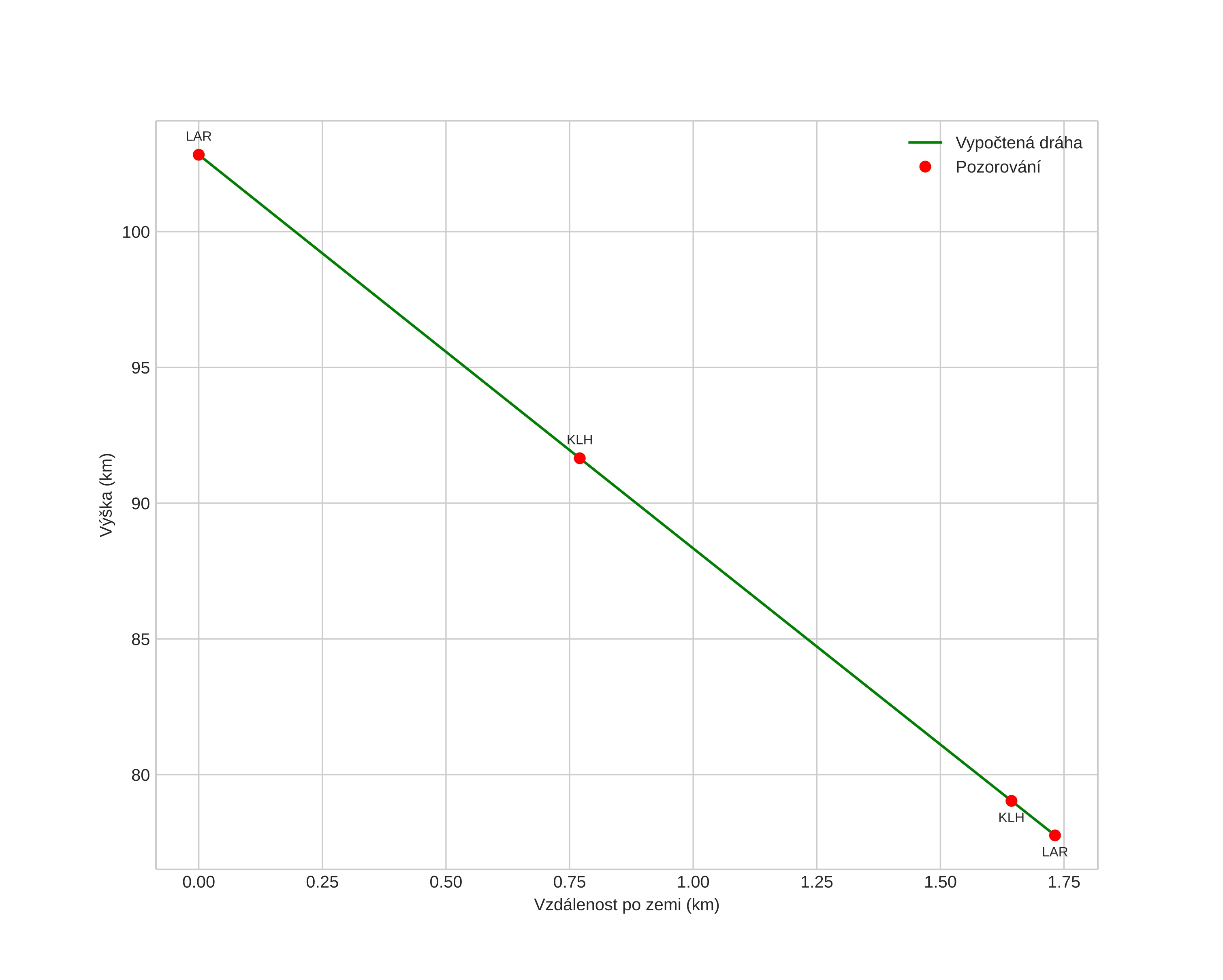
height profile
Atmosférická dráha meteoru:
Počáteční výška: 106,2 km
Konečná výška: 77,8 km
Počáteční poloha: 58,075N 11,740E
Konečná poloha: 58,077N 11,706E
Směr: 277,3°
Sklon: 86,0°
VstupnĂ­ rychlost: 60,5 km/s
Rektascenze radiantu: 09:21 (140,5°)
Deklinace radiantu: 57,3°
MeteorickĂ˝ roj: sporadickĂ˝
Elementy dráhy meteoroidu:
Vzdálenost v periheliu: 0,886 AU
Excentricita: 1,021
Sklon dráhy: 110,1°
Délka vzestupného uzlu: 229,7°
Argument perihelia: 217,6°
Střední anomálie: -0,1°
Epocha: 2021 NOV 12 04:43:12
orbit plot

NeinteraktivnĂ­ graf | InteraktivnĂ­ graf

position vs time
speed and acceleration