🇳🇴 🇬🇧 🇩🇪 🇨🇿 🇫🇮

Meteor über Myggenäs 2021-11-12 04:43:12 UTC

KML-Datei  |  Interaktive Karte

Die Karte zeigt die Peilungen für den Meteor. Die helleren Linien zeigen die Richtungen von den Beobachtungsorten beim Erscheinen des Meteors, und die dunkleren Linien, wo er zuletzt gesehen wurde. Der blaue Pfeil zeigt die sichtbare Bahn des Meteors.

static map
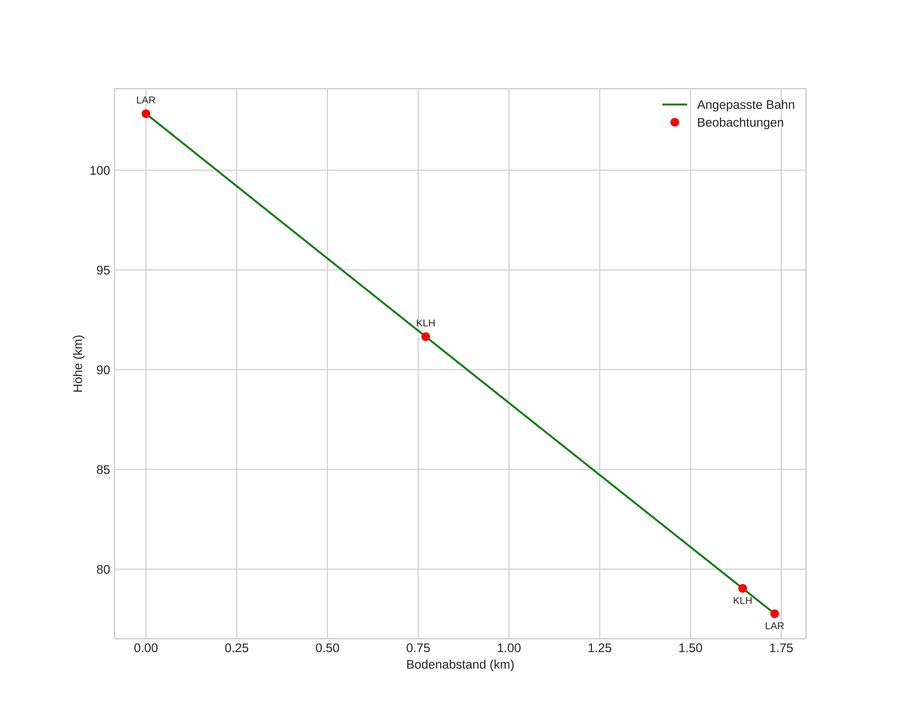
height profile
Atmosphärische Bahn des Meteors:
Anfangshöhe: 106,2 km
Endhöhe: 77,8 km
Startposition: 58,075N 11,740E
Endposition: 58,077N 11,706E
Richtung: 277,3°
Neigungswinkel: 86,0°
Eintrittsgeschwindigkeit: 60,5 km/s
Rektaszension des Radianten: 09:21 (140,5°)
Deklination des Radianten: 57,3°
Meteorstrom: sporadisch
Bahnelemente des Meteoroiden:
Periheldistanz: 0,886 AU
Exzentrizität: 1,021
Inklination: 110,1°
Länge des aufsteigenden Knotens: 229,7°
Argument des Perihels: 217,6°
Mittlere Anomalie: -0,1°
Epoche: 2021 NOV 12 04:43:12
orbit plot

Nicht-interaktives Diagramm | Interaktives Diagramm

position vs time
speed and acceleration