🇳🇴 🇬🇧 🇩🇪 🇨🇿 🇫🇮

Meteor Myggenäsin yllä 2021-11-12 04:43:12 UTC

KML-tiedosto  |  Interaktiivinen kartta

Kartta näyttää meteorin suuntahavainnot. Vaaleammat viivat näyttävät suunnat havaintoasemilta meteorin ilmestyessä, ja tummemmat viivat näyttävät, missä se viimeksi nähtiin. Sininen nuoli näyttää meteorin näkyvän lennon.

static map
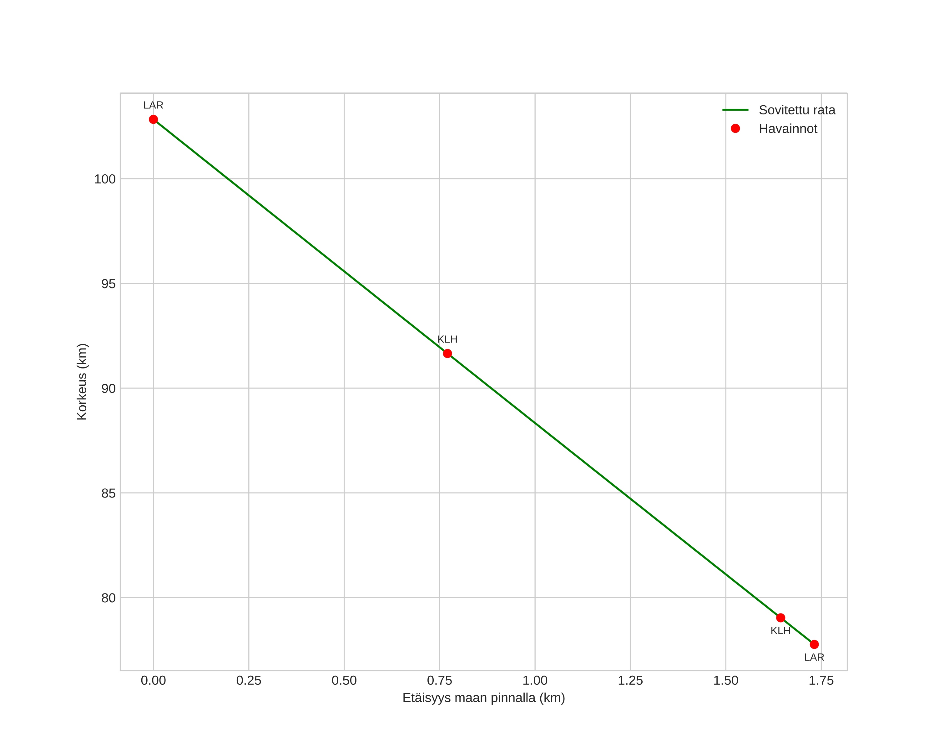
height profile
Meteorin ilmakehärata:
Alkukorkeus: 106,2 km
Loppukorkeus: 77,8 km
Alkupiste: 58,075N 11,740E
Loppupiste: 58,077N 11,706E
Suunta: 277,3°
Kallistuskulma: 86,0°
Tulonopeus: 60,5 km/s
Radiantin R,A,: 09:21 (140,5°)
Radiantin Dekl,: 57,3°
Meteoriparvi: Sporadinen
Meteoroidin rataelementit:
Perihelietäisyys: 0,886 AU
Eksentrisyys: 1,021
Inklinaatio: 110,1°
Nousevan solmun pituus: 229,7°
Perihelin argumentti: 217,6°
Keskianomalia: -0,1°
Epookki: 2021 NOV 12 04:43:12
orbit plot

Ei-interaktiivinen kuvaaja | Interaktiivinen kuvaaja

position vs time
speed and acceleration