🇳🇴 🇬🇧 🇩🇪 🇨🇿 🇫🇮

Meteor, poloha: Andenes 2021-12-03 22:30:40 UTC

Soubor KML  |  InteraktivnĂ­ mapa

Mapa zobrazuje dráhy meteoru. Světlejší čáry ukazují směry od pozorovacích stanic při objevení se meteoru a tmavší čáry, kde byl naposledy viděn. Modrá šipka značí viditelnou dráhu meteoru.

static map
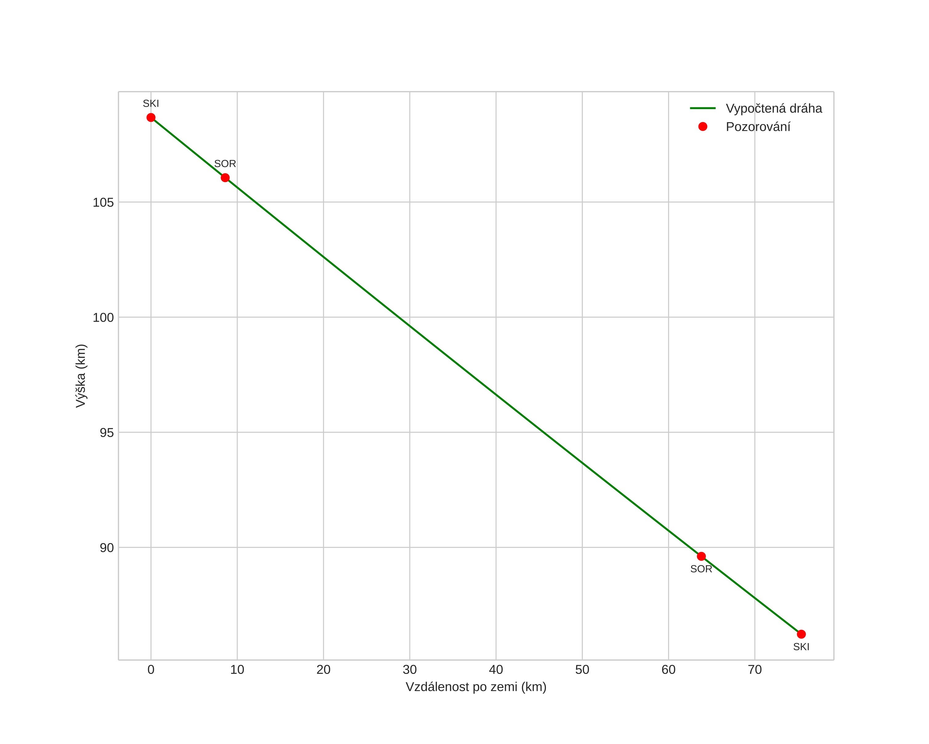
height profile
Atmosférická dráha meteoru:
Počáteční výška: 107,5 km
Konečná výška: 86,0 km
Počáteční poloha: 69,539N 17,728E
Konečná poloha: 69,896N 16,137E
Směr: 303,7°
Sklon: 16,4°
VstupnĂ­ rychlost: 61,0 km/s
Rektascenze radiantu: 08:05 (121,3°)
Deklinace radiantu: 3,9°
MeteorickĂ˝ roj: Sigma Hydridy
Elementy dráhy meteoroidu:
Vzdálenost v periheliu: 0,264 AU
Excentricita: 1,003
Sklon dráhy: 131,1°
Délka vzestupného uzlu: 71,7°
Argument perihelia: 117,6°
Střední anomálie: -0,0°
Epocha: 2021 DEC 03 22:30:40
orbit plot

NeinteraktivnĂ­ graf | InteraktivnĂ­ graf

position vs time
speed and acceleration