🇳🇴 🇬🇧 🇩🇪 🇨🇿 🇫🇮

Meteor über Andenes 2021-12-03 22:30:40 UTC

KML-Datei  |  Interaktive Karte

Die Karte zeigt die Peilungen für den Meteor. Die helleren Linien zeigen die Richtungen von den Beobachtungsorten beim Erscheinen des Meteors, und die dunkleren Linien, wo er zuletzt gesehen wurde. Der blaue Pfeil zeigt die sichtbare Bahn des Meteors.

static map
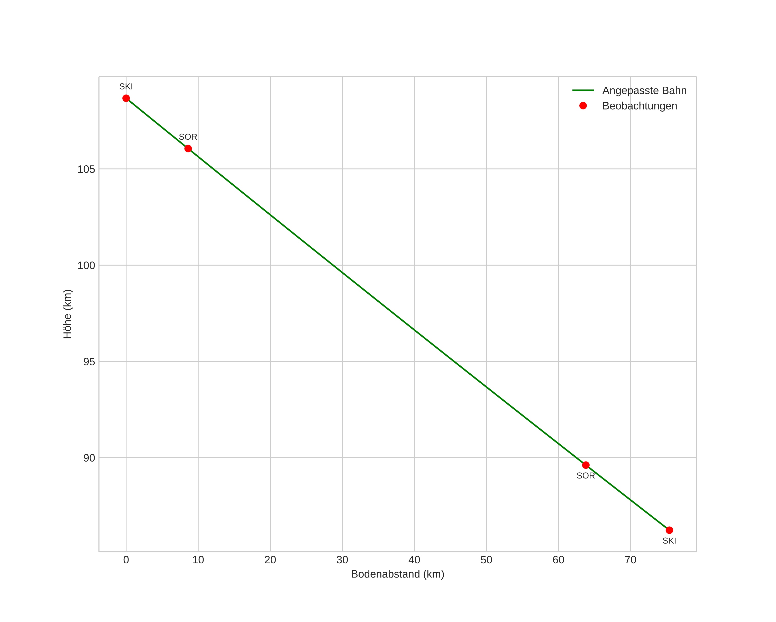
height profile
Atmosphärische Bahn des Meteors:
Anfangshöhe: 107,5 km
Endhöhe: 86,0 km
Startposition: 69,539N 17,728E
Endposition: 69,896N 16,137E
Richtung: 303,7°
Neigungswinkel: 16,4°
Eintrittsgeschwindigkeit: 61,0 km/s
Rektaszension des Radianten: 08:05 (121,3°)
Deklination des Radianten: 3,9°
Meteorstrom: Sigma-Hydriden
Bahnelemente des Meteoroiden:
Periheldistanz: 0,264 AU
Exzentrizität: 1,003
Inklination: 131,1°
Länge des aufsteigenden Knotens: 71,7°
Argument des Perihels: 117,6°
Mittlere Anomalie: -0,0°
Epoche: 2021 DEC 03 22:30:40
orbit plot

Nicht-interaktives Diagramm | Interaktives Diagramm

position vs time
speed and acceleration