🇳🇴 🇬🇧 🇩🇪 🇨🇿 🇫🇮

Meteor Andenesin yllä 2021-12-03 22:30:40 UTC

KML-tiedosto  |  Interaktiivinen kartta

Kartta näyttää meteorin suuntahavainnot. Vaaleammat viivat näyttävät suunnat havaintoasemilta meteorin ilmestyessä, ja tummemmat viivat näyttävät, missä se viimeksi nähtiin. Sininen nuoli näyttää meteorin näkyvän lennon.

static map
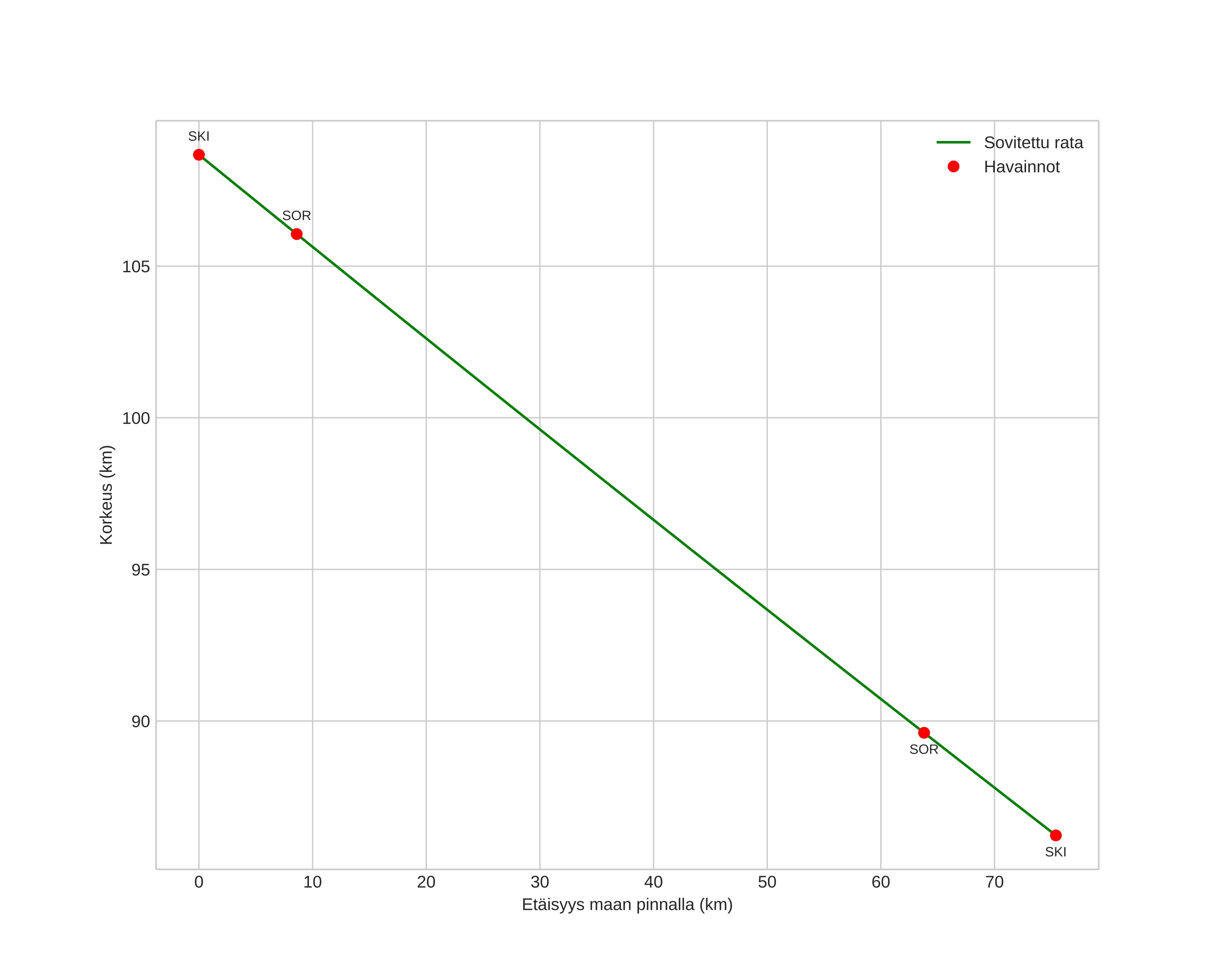
height profile
Meteorin ilmakehärata:
Alkukorkeus: 107,5 km
Loppukorkeus: 86,0 km
Alkupiste: 69,539N 17,728E
Loppupiste: 69,896N 16,137E
Suunta: 303,7°
Kallistuskulma: 16,4°
Tulonopeus: 61,0 km/s
Radiantin R,A,: 08:05 (121,3°)
Radiantin Dekl,: 3,9°
Meteoriparvi: Sigma-hydridit
Meteoroidin rataelementit:
Perihelietäisyys: 0,264 AU
Eksentrisyys: 1,003
Inklinaatio: 131,1°
Nousevan solmun pituus: 71,7°
Perihelin argumentti: 117,6°
Keskianomalia: -0,0°
Epookki: 2021 DEC 03 22:30:40
orbit plot

Ei-interaktiivinen kuvaaja | Interaktiivinen kuvaaja

position vs time
speed and acceleration