🇳🇴 🇬🇧 🇩🇪 🇨🇿 🇫🇮

Meteor, poloha: Moen 2021-12-04 04:21:48 UTC

Soubor KML  |  InteraktivnĂ­ mapa

Mapa zobrazuje dráhy meteoru. Světlejší čáry ukazují směry od pozorovacích stanic při objevení se meteoru a tmavší čáry, kde byl naposledy viděn. Modrá šipka značí viditelnou dráhu meteoru.

static map
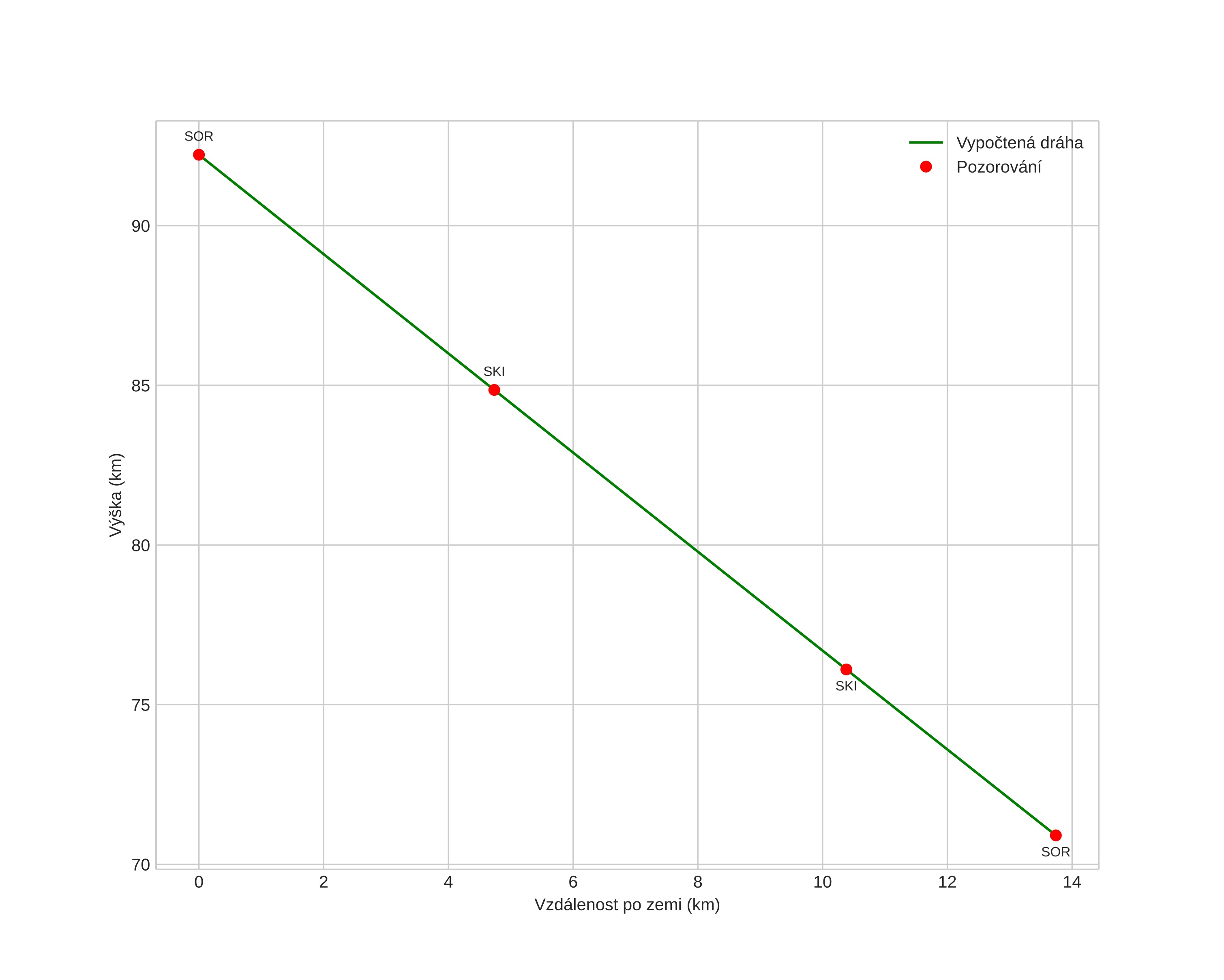
height profile
Atmosférická dráha meteoru:
Počáteční výška: 91,5 km
Konečná výška: 71,3 km
Počáteční poloha: 69,328N 18,742E
Konečná poloha: 69,211N 18,707E
Směr: 186,2°
Sklon: 57,0°
VstupnĂ­ rychlost: 28,3 km/s
Rektascenze radiantu: 21:36 (324,1°)
Deklinace radiantu: 76,0°
MeteorickĂ˝ roj: sporadickĂ˝
Elementy dráhy meteoroidu:
Vzdálenost v periheliu: 0,947 AU
Excentricita: 0,960
Sklon dráhy: 36,8°
Délka vzestupného uzlu: 251,9°
Argument perihelia: 202,9°
Střední anomálie: 359,9°
Epocha: 2021 DEC 04 04:21:48
orbit plot

NeinteraktivnĂ­ graf | InteraktivnĂ­ graf

position vs time
speed and acceleration