🇳🇴 🇬🇧 🇩🇪 🇨🇿 🇫🇮

Meteor Moenin yllä 2021-12-04 04:21:48 UTC

KML-tiedosto  |  Interaktiivinen kartta

Kartta näyttää meteorin suuntahavainnot. Vaaleammat viivat näyttävät suunnat havaintoasemilta meteorin ilmestyessä, ja tummemmat viivat näyttävät, missä se viimeksi nähtiin. Sininen nuoli näyttää meteorin näkyvän lennon.

static map
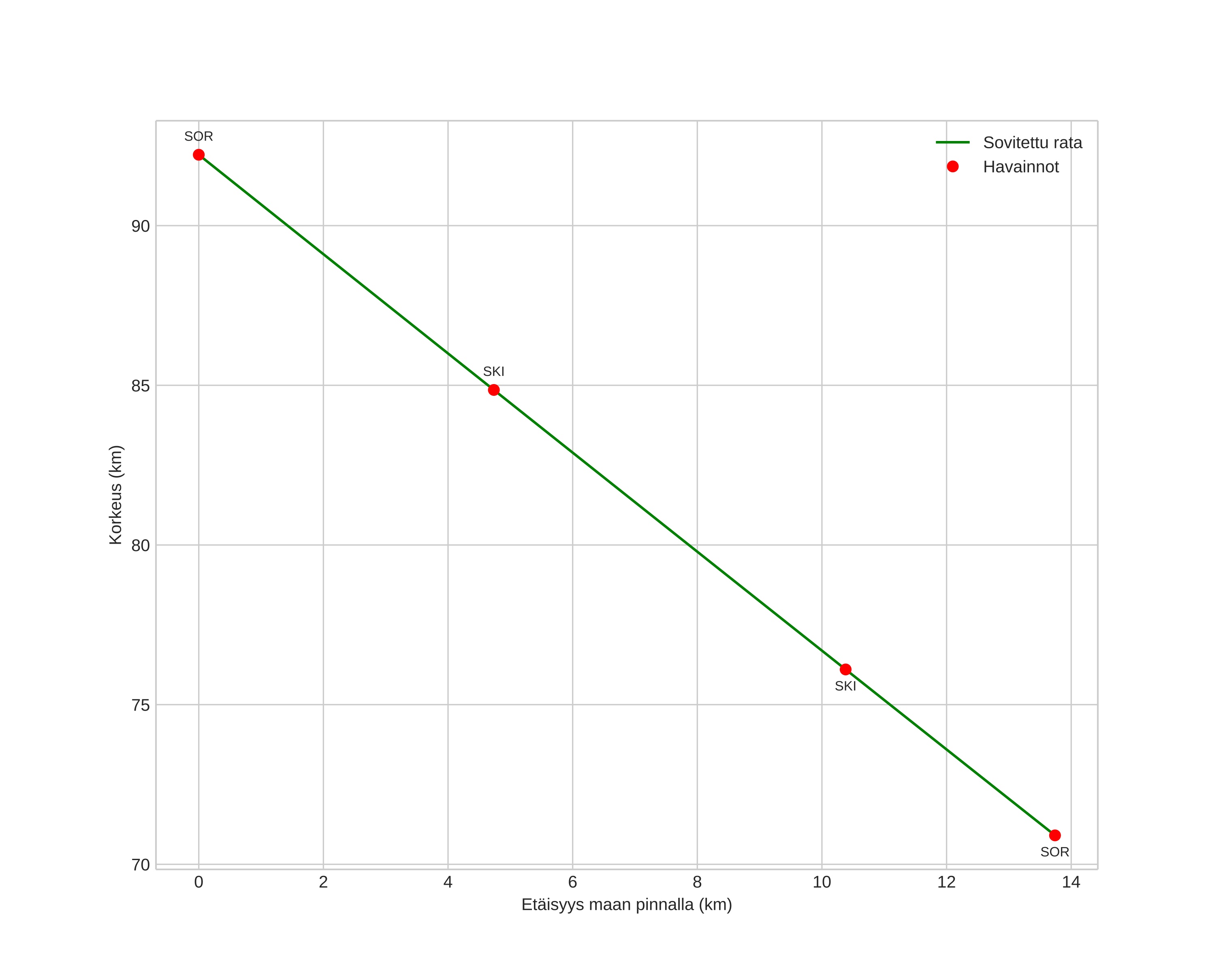
height profile
Meteorin ilmakehärata:
Alkukorkeus: 91,5 km
Loppukorkeus: 71,3 km
Alkupiste: 69,328N 18,742E
Loppupiste: 69,211N 18,707E
Suunta: 186,2°
Kallistuskulma: 57,0°
Tulonopeus: 28,3 km/s
Radiantin R,A,: 21:36 (324,1°)
Radiantin Dekl,: 76,0°
Meteoriparvi: Sporadinen
Meteoroidin rataelementit:
Perihelietäisyys: 0,947 AU
Eksentrisyys: 0,960
Inklinaatio: 36,8°
Nousevan solmun pituus: 251,9°
Perihelin argumentti: 202,9°
Keskianomalia: 359,9°
Epookki: 2021 DEC 04 04:21:48
orbit plot

Ei-interaktiivinen kuvaaja | Interaktiivinen kuvaaja

position vs time
speed and acceleration