🇳🇴 🇬🇧 🇩🇪 🇨🇿 🇫🇮

Meteor über Moen 2021-12-04 04:21:48 UTC

KML-Datei  |  Interaktive Karte

Die Karte zeigt die Peilungen für den Meteor. Die helleren Linien zeigen die Richtungen von den Beobachtungsorten beim Erscheinen des Meteors, und die dunkleren Linien, wo er zuletzt gesehen wurde. Der blaue Pfeil zeigt die sichtbare Bahn des Meteors.

static map
height profile
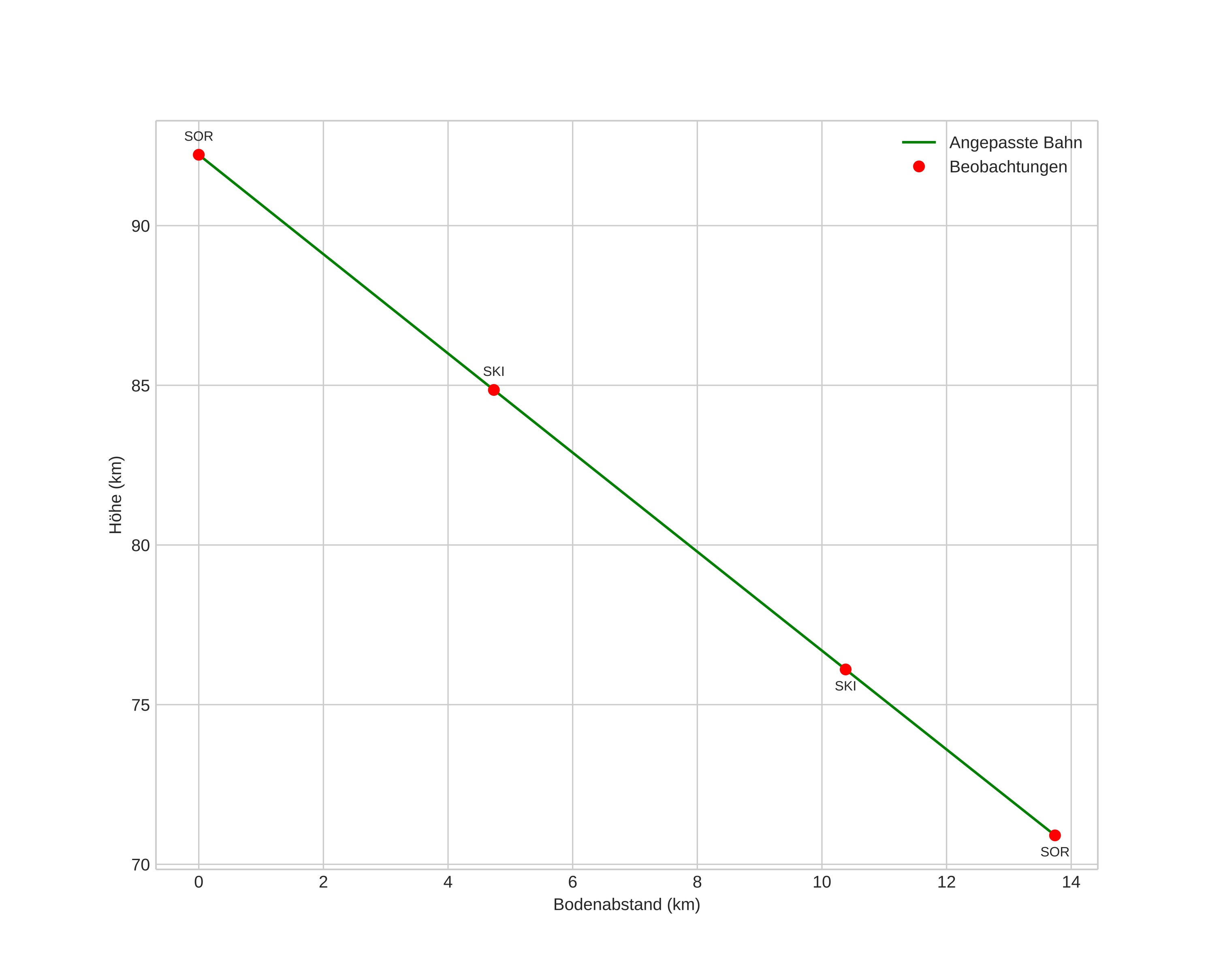
Atmosphärische Bahn des Meteors:
Anfangshöhe: 91,5 km
Endhöhe: 71,3 km
Startposition: 69,328N 18,742E
Endposition: 69,211N 18,707E
Richtung: 186,2°
Neigungswinkel: 57,0°
Eintrittsgeschwindigkeit: 28,3 km/s
Rektaszension des Radianten: 21:36 (324,1°)
Deklination des Radianten: 76,0°
Meteorstrom: sporadisch
Bahnelemente des Meteoroiden:
Periheldistanz: 0,947 AU
Exzentrizität: 0,960
Inklination: 36,8°
Länge des aufsteigenden Knotens: 251,9°
Argument des Perihels: 202,9°
Mittlere Anomalie: 359,9°
Epoche: 2021 DEC 04 04:21:48
orbit plot

Nicht-interaktives Diagramm | Interaktives Diagramm

position vs time
speed and acceleration