🇳🇴 🇬🇧 🇩🇪 🇨🇿 🇫🇮

Meteor, poloha: Straumen 2021-12-06 22:05:08 UTC

Soubor KML  |  InteraktivnĂ­ mapa

Mapa zobrazuje dráhy meteoru. Světlejší čáry ukazují směry od pozorovacích stanic při objevení se meteoru a tmavší čáry, kde byl naposledy viděn. Modrá šipka značí viditelnou dráhu meteoru.

static map
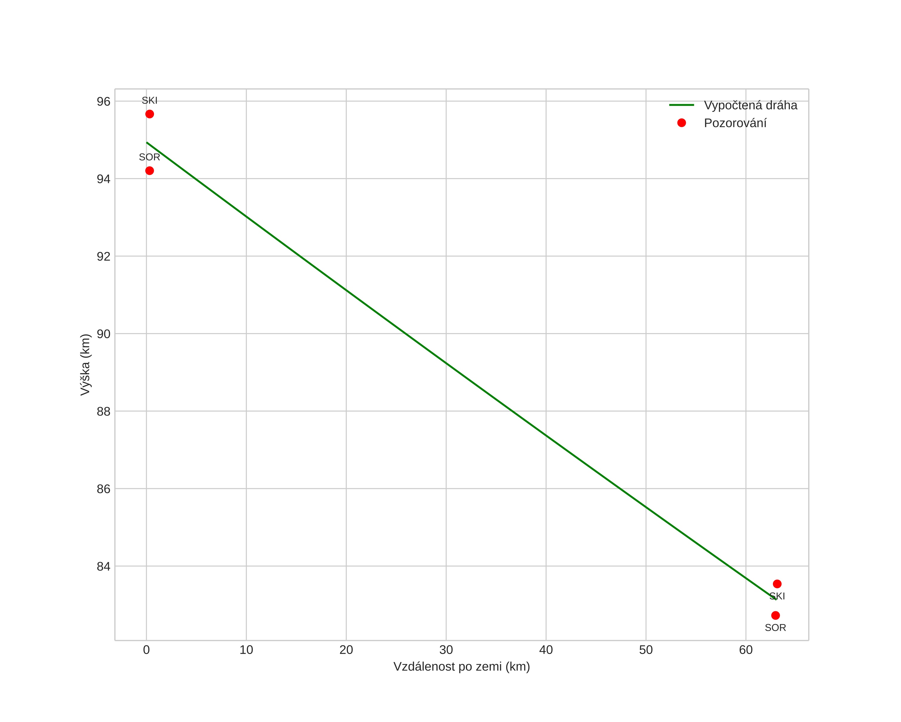
height profile
Atmosférická dráha meteoru:
Počáteční výška: 93,8 km
Konečná výška: 79,5 km
Počáteční poloha: 67,137N 17,810E
Konečná poloha: 67,350N 16,549E
Směr: 294,2°
Sklon: 13,6°
VstupnĂ­ rychlost: 57,1 km/s
Rektascenze radiantu: 08:29 (127,5°)
Deklinace radiantu: 2,8°
MeteorickĂ˝ roj: Sigma Hydridy
Elementy dráhy meteoroidu:
Vzdálenost v periheliu: 0,237 AU
Excentricita: 0,893
Sklon dráhy: 131,7°
Délka vzestupného uzlu: 74,7°
Argument perihelia: 127,5°
Střední anomálie: 348,6°
Epocha: 2021 DEC 06 22:05:08
orbit plot

NeinteraktivnĂ­ graf | InteraktivnĂ­ graf

position vs time
speed and acceleration