🇳🇴 🇬🇧 🇩🇪 🇨🇿 🇫🇮

Meteor Straumenin yllä 2021-12-06 22:05:08 UTC

KML-tiedosto  |  Interaktiivinen kartta

Kartta näyttää meteorin suuntahavainnot. Vaaleammat viivat näyttävät suunnat havaintoasemilta meteorin ilmestyessä, ja tummemmat viivat näyttävät, missä se viimeksi nähtiin. Sininen nuoli näyttää meteorin näkyvän lennon.

static map
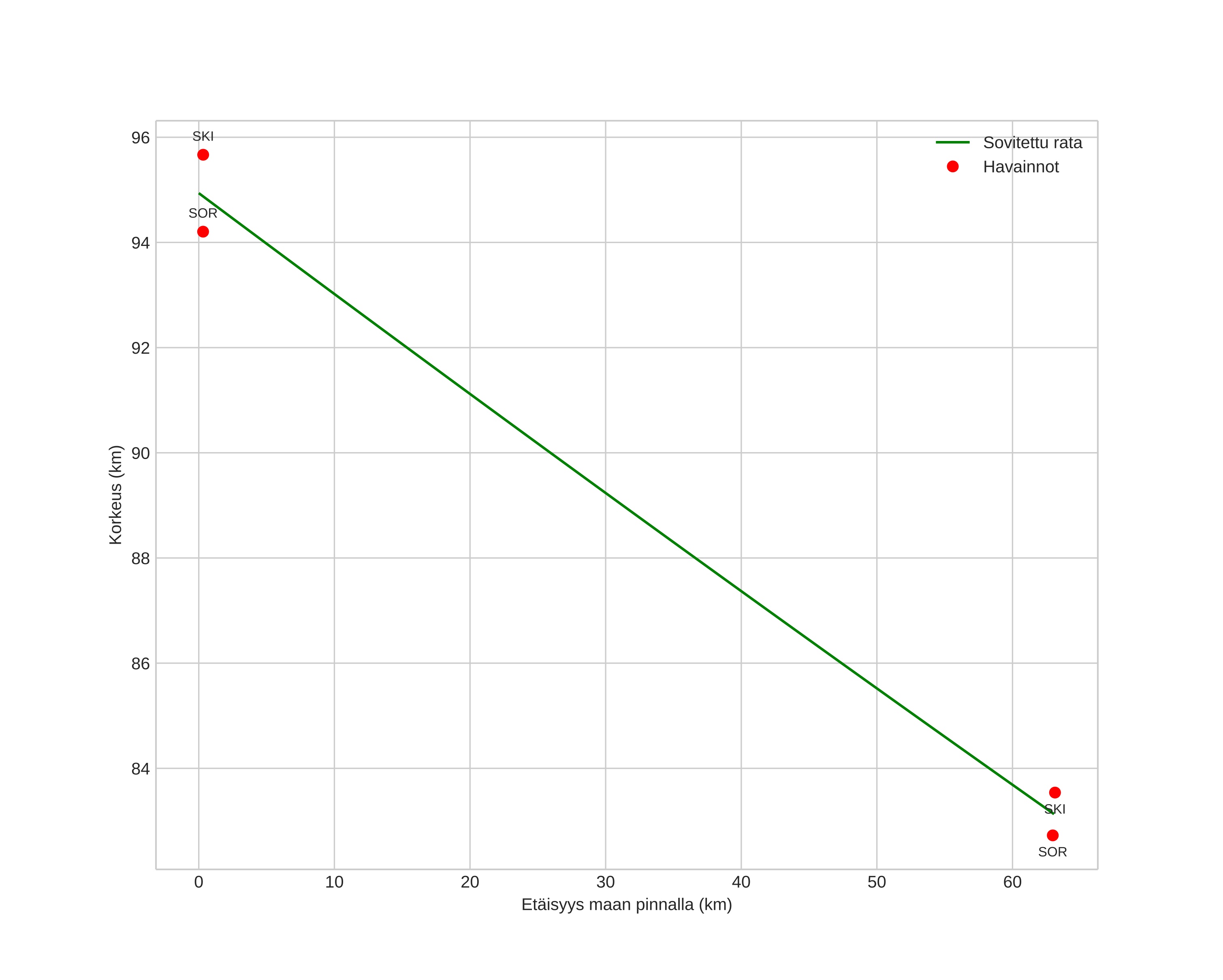
height profile
Meteorin ilmakehärata:
Alkukorkeus: 93,8 km
Loppukorkeus: 79,5 km
Alkupiste: 67,137N 17,810E
Loppupiste: 67,350N 16,549E
Suunta: 294,2°
Kallistuskulma: 13,6°
Tulonopeus: 57,1 km/s
Radiantin R,A,: 08:29 (127,5°)
Radiantin Dekl,: 2,8°
Meteoriparvi: Sigma-hydridit
Meteoroidin rataelementit:
Perihelietäisyys: 0,237 AU
Eksentrisyys: 0,893
Inklinaatio: 131,7°
Nousevan solmun pituus: 74,7°
Perihelin argumentti: 127,5°
Keskianomalia: 348,6°
Epookki: 2021 DEC 06 22:05:08
orbit plot

Ei-interaktiivinen kuvaaja | Interaktiivinen kuvaaja

position vs time
speed and acceleration