🇳🇴 🇬🇧 🇩🇪 🇨🇿 🇫🇮

Meteor über Straumen 2021-12-06 22:05:08 UTC

KML-Datei  |  Interaktive Karte

Die Karte zeigt die Peilungen für den Meteor. Die helleren Linien zeigen die Richtungen von den Beobachtungsorten beim Erscheinen des Meteors, und die dunkleren Linien, wo er zuletzt gesehen wurde. Der blaue Pfeil zeigt die sichtbare Bahn des Meteors.

static map
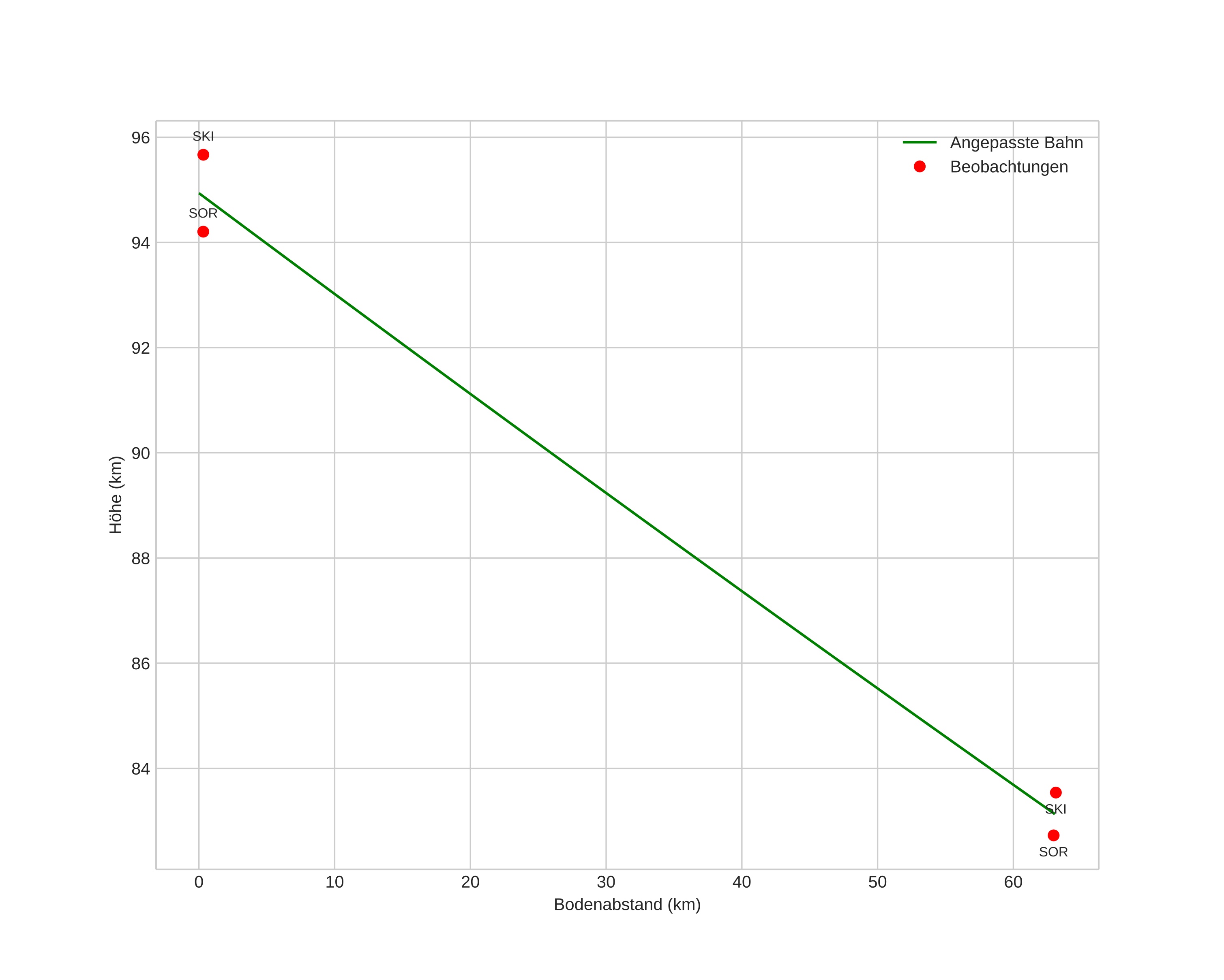
height profile
Atmosphärische Bahn des Meteors:
Anfangshöhe: 93,8 km
Endhöhe: 79,5 km
Startposition: 67,137N 17,810E
Endposition: 67,350N 16,549E
Richtung: 294,2°
Neigungswinkel: 13,6°
Eintrittsgeschwindigkeit: 57,1 km/s
Rektaszension des Radianten: 08:29 (127,5°)
Deklination des Radianten: 2,8°
Meteorstrom: Sigma-Hydriden
Bahnelemente des Meteoroiden:
Periheldistanz: 0,237 AU
Exzentrizität: 0,893
Inklination: 131,7°
Länge des aufsteigenden Knotens: 74,7°
Argument des Perihels: 127,5°
Mittlere Anomalie: 348,6°
Epoche: 2021 DEC 06 22:05:08
orbit plot

Nicht-interaktives Diagramm | Interaktives Diagramm

position vs time
speed and acceleration